SMC Corona Report
Dieser wöchentliche Report des Science Media Center Germany (SMC) fasst das aktuelle Corona-Geschehen anhand relevanter Kennzahlen zusammen und bietet neue Blickwinkel auf die verfügbaren Daten.
Das SMC verschafft Ihnen damit einen raschen Überblick über den Verlauf der gegenwärtigen Pandemie in Deutschland. Wir liefern nicht nur die nackten Zahlen, sondern ordnen die Statistiken und ihre zeitliche Entwicklung auch ein. So können Sie mit einem Blick die sich dynamisch verändernde aktuelle Situation erfassen.
Die Inzidenz (Fälle pro 100 000 Personen in den vergangenen sieben Tagen) steht im Mittelpunkt, wenn es darum geht zu entscheiden, welche Maßnahmen aktuell getroffen werden müssen. Und ob diese verschärft oder gelockert werden können. In der vergangenen Woche haben wir an dieser Stelle gezeigt, wie die geänderte Teststrategie des RKI Einfluss auf die Zahl der gemeldeten Fälle haben kann. Durch diese Unsicherheit kann aktuell nicht sicher gesagt werden, ob die Inzidenz bereits sinkt, oder ob der Effekt der Umstellung das Wachstum niedriger ausfallen lässt als es in Wirklichkeit ist. Aber selbst mit diesem Effekt liegt das Wachstum der Fallzahlen und damit auch der Inzidenz nahe Null.
Sollte sich in der nächsten Woche ein negatives Wachstum einstellen, bleibt die Frage wie stark dieses ist und wann die deutschlandweite Inzidenz erneut unter die Grenze von 50 pro 100 000 Personen in den vergangenen sieben Tagen fallen würde. In der unteren Grafik wurden verschiedene Wachstumsraten visualisiert. Dabei sind die Verläufe idealisiert, ein sich veränderndes Wachstum wie es in der Realität beobachtet werden kann, wurde nicht betrachtet. Mit einem minimalen negativen Wachstum von -5 Prozent pro Woche würde die Inzidenzgrenze von 50 erst im April nächsten Jahres wieder unterschritten. Ein wöchentliches Minus von 10 Prozent, wie es zur Zeit zum Beispiel in Köln zu beobachten ist, würde schon im Januar zur Unterschreitung dieser Grenze führen. Im Frühjahr wurde dagegen auch ein längerfristiges negatives Wachstum von ungefähr 25 Prozent erreicht. Dieses würde auch jetzt wieder zu einem schnelleren Absinken der Inzidenz führen, ist aber aktuell nicht absehbar. Welcher Weg eingeschlagen wird und ob nicht sogar wieder ein Ansteigen der Zahlen möglich ist, hängt sowohl von den getroffenen Maßnahmen, als auch von dem Verhalten der Bevölkerung insgesamt ab und kann aus heutiger Sicht nicht seriös abgeschätzt werden. Klar ist, dass die Mobilität der Bevölkerung deutlich weniger gesunken ist als im Frühjahr.

Downloads:Als PNG.
Die Zahl der COVID-19 Fälle auf den Intensivstationen hat das Maximum vom Frühjahr überschritten. Da die demnächst in den Intensivstationen behandelten Personen bereits heute infiziert sind, kann ein weiterer Anstieg nicht mehr verhindert werden. Ein sofortiges Sinken der täglichen Fallzahlen in den älteren Risikogruppen würde erst verzögert einen Rückgang der Fallzahlen auf den Intensivstationen bedeuten.

Downloads:Als PNG.
Einen besseren Eindruck von der aktuell beschleunigten Dynamik bekommt man – wie immer bei exponentiellem Wachstum –, wenn man auf das prozentuale Wachstum schaut. In der folgenden Grafik ist das prozentuale Wachstum der mit COVID-19-Fällen belegten Intensivbetten im Vergleich zur Vorwoche abgetragen. Zusätzlich ist auch das um eine Woche verschobene Wachstum der gemeldeten Fallzahlen der Altersgruppen ab 60 Jahren dargestellt. Da gemeldete Fälle in der Regel erst nach einigen Tagen intensivmedizinisch behandelt werden müssen, sofern sie diese Behandlung benötigen, sind durch diese Verschiebung die Wachstumsraten besser zu vergleichen.
Die Wachstumsrate der mit COVID-19 Fällen belegten Betten ist in den vergangenen Wochen gefallen. Die absoluten Zahlen steigen aber weiterhin.

Downloads:Als PNG.
Die Grafik zeigt die gemeldeten Fallzahlen einmal für Personen unter 50 Jahren und einmal ab 50 Jahren. Seit dem Spätsommer ist zu sehen, dass die Fallzahlen in den unteren Altersgruppen zuerst steigen.

Downloads:Als PNG.
Insbesondere die Daten der zuletzt betrachteten Woche können noch unvollständig sein und Nachmeldungen die Werte verändern.
Die erste Grafik zeigt die gemeldeten Fallzahlen pro 100 000 Personen in den Altersgruppen nach Kalenderwoche. Für einen Vergleich der Wachstumsdynamik in den Altersgruppen bietet sich zusätzlich ein Blick auf das prozentuale Wachstum in den Gruppen an. Setzt man die Werte für die 28. Kalenderwoche (06.07.2020 bis 12.07.2020) als 100 Prozent an, kann man die relative Veränderung zu dieser Kalenderwoche in den Altersgruppen vergleichen. Die 28. Kalenderwoche wurde dabei gewählt, da in dieser und den folgenden Wochen die Zahl der gemeldeten Fälle in Deutschland gering war und in der Verteilung der Fälle der starke Anstieg bei den jüngeren Altersklassen noch nicht zu beobachten war.
Währen in vielen Altersgruppen die Fallzahlen pro 100 000 Personen noch steigen, sinken sie vereinzelt schon. Die nächste Woche wird zeigen, ob sich hier unabhängig von der geänderten Teststrategie ein negativer Trend verstetigt.

Downloads:Als PNG.

Downloads:Als PNG.
Die Grafik zeigt für jeden Tag das Wachstum der geglätteten Fallzahlen im Vergleich zur Vorwoche. Das Wachstum verlangsamt sich weiterhin, eventuell befinden wir uns gerade an dem Zeitpunkt, zu dem das Wachstum negativ wird. Auf Grund der geänderten Teststrategie sind die Zahlen zur Zeit noch stärker als sonst mit Unsicherheiten behaftet. Laut Situationsbericht vom 18.11. ist der Anteil der positiven PCR-Tests an allen Test auf neun Prozent gestiegen, die Zahl durchgeführten Tests und der Probenrückstau haben sich verringert. Da aber zeitgleich verstärkt Schnelltests (Point of Care-Tests) in Situationen eingesetzt werden, in denen zuvor PCR-Tests verwendet wurden, muss dies nicht zwingend ein Zeichen dafür sein, dass das Infektionsgeschehen schlechter abgebildet wird. Auch hier werden wahrscheinlich erst die nächsten Wochen ein klareres Bild liefern.

Downloads:Als PNG.
Da die Zahl der neu bestätigten Infektionsfälle (gestrichelte Linie) im Wochenrhythmus schwankt, wird an dieser Stelle auch ein Mittelwert der jeweils vergangenen sieben Tage angegeben (blaue Linie). Da die vergangenen sieben Tage betrachtet werden, läuft dieser Wert den Meldezahlen immer etwas nach. Die aktuellen Zahlen können auf Grund der oben beschriebenen Problematik mit der geänderten Teststrategie derzeit nicht gut interpretiert werden.

Downloads:Als PNG.
Die aktuellen Zahlen können auf Grund der oben beschriebenen Problematik mit der geänderten Teststrategie derzeit nicht gut interpretiert werden.

Downloads:Als PNG.
Für die Bewertung der aktuellen Situation ist die Einschätzung wichtig, ob sich das Infektionsgeschehen gleichmäßig über Deutschland verteilt oder ob es einzelne Hotspots und lokale Ausbrüche gibt. Auch wenn die Meldedaten nur ein unzureichendes Bild über das Infektionsgeschehen bieten, können sie daraufhin analysiert werden.
Ein bekanntes Maß für Ungleichheit ist der sogenannte Gini-Koeffizient, eine Zahl zwischen Null und Eins. Nehmen wir etwa die Vermögensverteilung in einem Land. Der Gini-Koeffizient nimmt den Wert Eins an, wenn einer allein alles hat und Null, wenn alle gleich viel besitzen.
Angewendet auf die tägliche Zahl der Neuinfektionen in den Kreisen würde allerdings schon allein durch die unterschiedliche Größe der Kreise eine Ungleichheit entstehen und vorgetäuscht. Aus diesem Grund wird die Ungleichheit im Infektionsgeschehen hier auf Basis der Maßzahl „Anzahl der Fälle pro 100 000 Personen in den vergangenen sieben Tagen“ berechnet.
Ende Februar war die Ungleichheit bei den gemeldeten Fällen noch sehr groß, fiel dann aber mit steigender Fallzahl ab, da sich das Virus über Deutschland verteilte. Auch in den Hochzeiten waren die gemeldeten Fälle pro 100 000 Personen nicht gleichmäßig verteilt, der Gini-Koeffizient fiel nie unter 0,35.

Downloads:Als PNG.
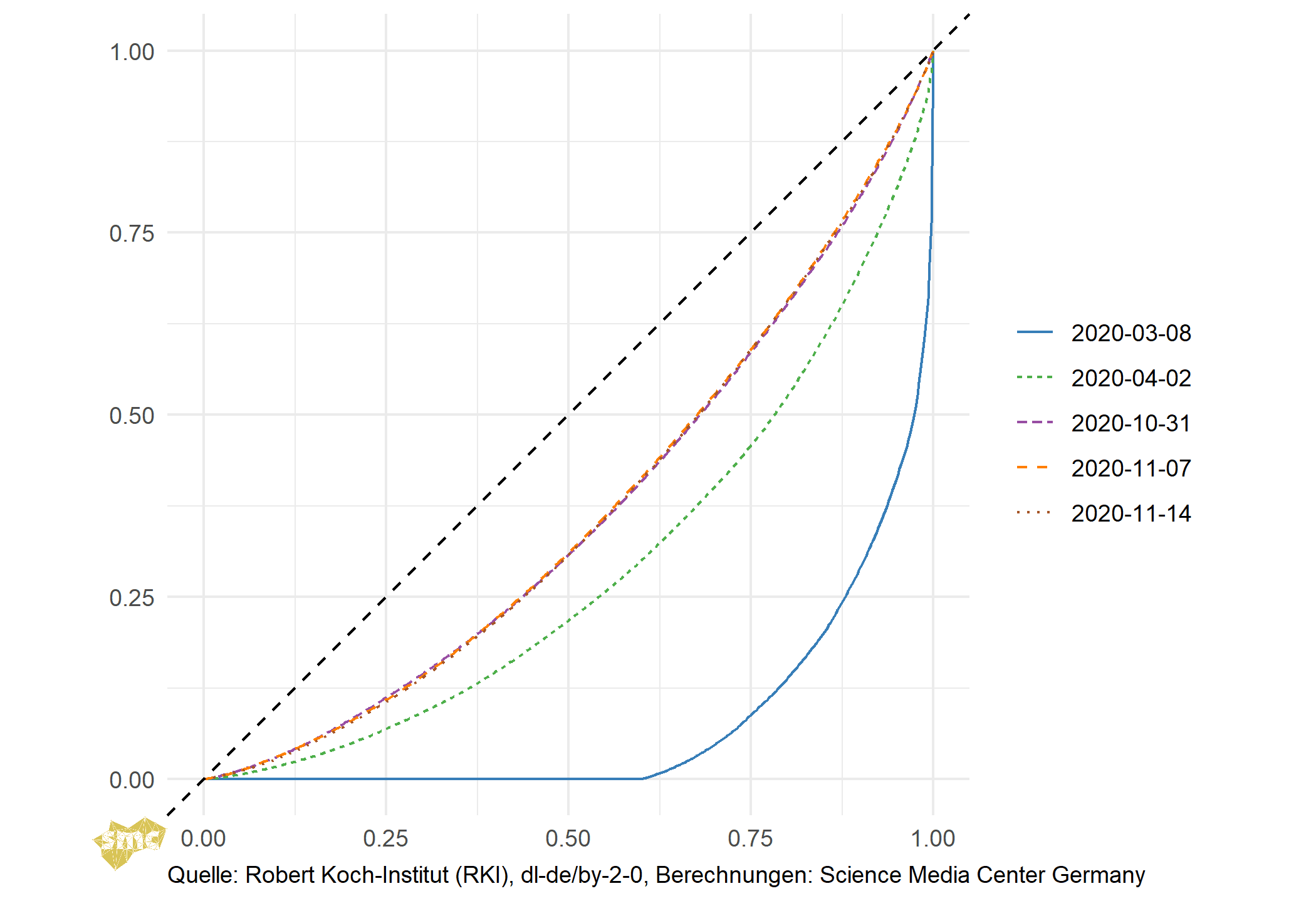
Neben der zeitlichen Betrachtung ist als Querschnitt auch eine Betrachtung der Verteilung in den Landkreisen zu einem bestimmten Zeitpunkt möglich. Die sogenannte Lorenzkurve zeigt, wie viel Prozent der Landkreise (X-Achse) wie viel Prozent der pro Landkreis aufsummierten Fälle pro 100 000 Personen in den vergangenen sieben Tagen ausmachen. Dabei ist wichtig, dass es sich um diese relative Maßzahl handelt und nicht um die absolute, direkte Zahl der Infektionsfälle! München geht in diese Berechnung mit dem gleichen Gewicht ein wie Zweibrücken.
Je näher eine Lorenzkurve an der Diagonalen liegt, desto gleichmäßiger ist die Maßzahl verteilt, eine Kurve, die weit davon entfernt ist, zeugt von einer ungleichen Verteilung.
Betrachtet werden verschiedene Zeitpunkte:

Downloads:Als PNG.
Die Tatsache, dass die Kreise in Deutschland sehr unterschiedliche Einwohnerzahlen haben, macht die Vergleichbarkeit schwer. Relative Maßzahlen können bei kleinen Kreisen dazu führen, dass Zufallsschwankungen großen Einfluss haben, große Kreise haben bei gleicher relativer Anzahl viel mehr Fälle, sodass sie bei absoluten Maßzahlen eher auffallen.
Die folgenden beiden Tabellen enthalten vier verschiedene Maßzahlen. Für den 17.11.2020 werden jeweils die für sieben Tage geglätteten Fallzahlen pro Tag und die Anzahl der bestätigten Fälle pro 100 000 Personen in den vergangenen sieben Tagen angegeben. Darüber hinaus wird jeweils die Differenz der Maßzahl zu dem Wert vom 10.11.2020 angegeben, um eine Veränderung zur Vorwoche zu betrachten.
Die erste Tabelle zeigt die zehn Kreise mit den höchsten Differenzen der Fallzahlen zur Vorwoche, in der zweiten Tabelle werden die Kreise mit den höchsten Differenzen der Fallzahlen pro 100 000 Personen angegeben. Während auf Grund der absoluten Maßzahl in der ersten Tabelle eher große Kreise enthalten sind, werden in der zweiten Tabelle tendenziell kleinere Kreise aufgezählt. Beide Tabellen geben keine Aussage darüber, ob hier steigende Fallzahlen im gesamten Kreis oder nur in einigen Einrichtungen vorliegen.
| Landkreis | Differenz Fälle pro Tag | Fallzahlen pro Tag | Differenz pro 100 000 Personen | Fälle pro 100 000 Personen |
|---|---|---|---|---|
| SK Berlin Mitte | 82.7 | 214.7 | 150.1 | 389.6 |
| SK Berlin Friedrichshain-Kreuzberg | 44.3 | 117.3 | 106.7 | 282.7 |
| SK Nürnberg | 40.1 | 182.0 | 54.2 | 245.8 |
| SK Mannheim | 36.3 | 101.9 | 81.7 | 229.5 |
| LK Zwickau | 33.6 | 116.0 | 74.6 | 257.8 |
| SK Berlin Neukölln | 33.1 | 166.9 | 66.1 | 332.8 |
| SK Ludwigshafen | 32.9 | 72.9 | 133.5 | 296.1 |
| LK Rhein-Pfalz-Kreis | 28.7 | 45.7 | 130.0 | 207.0 |
| LK Passau | 27.9 | 83.9 | 101.2 | 304.7 |
| LK Lippe | 27.7 | 113.3 | 55.8 | 228.2 |
| Landkreis | Differenz Fälle pro Tag | Fallzahlen pro Tag | Differenz pro 100 000 Personen | Fälle pro 100 000 Personen |
|---|---|---|---|---|
| SK Speyer | 17.3 | 26.7 | 239.4 | 369.9 |
| SK Berlin Mitte | 82.7 | 214.7 | 150.1 | 389.6 |
| SK Kaufbeuren | 9.1 | 20.0 | 144.1 | 315.3 |
| SK Ludwigshafen | 32.9 | 72.9 | 133.5 | 296.1 |
| LK Rhein-Pfalz-Kreis | 28.7 | 45.7 | 130.0 | 207.0 |
| SK Berlin Friedrichshain-Kreuzberg | 44.3 | 117.3 | 106.7 | 282.7 |
| SK Passau | 7.9 | 24.0 | 104.2 | 318.2 |
| LK Sonneberg | 8.6 | 17.9 | 104.0 | 216.6 |
| LK Ilm-Kreis | 15.6 | 23.9 | 102.6 | 157.2 |
| LK Passau | 27.9 | 83.9 | 101.2 | 304.7 |
Diesem Report liegen die Daten des Robert Koch-Instituts (RKI) zu Grunde, die im esri COVID-19 GeoHub zur Verfügung gestellt werden. Da ein Teil der Daten erst Tage nach dem offiziellen Meldedatum vom RKI erfasst werden, können sich diese auch nachträglich ändern. Insbesondere die jüngsten Daten unterliegen in der Regel noch starken Veränderungen und werden in diesem Report deswegen grau hinterlegt. Der Datensatz ist nach den Landkreisen und kreisfreien Städten, Berlin zusätzlich in die Bezirke aufgeteilt. Die Zahl der nicht diagnostizierten Fälle ist unbekannt und daher nicht enthalten.
Weitere Datenquellen sind die SurvStat-Datenbank des RKI und das DIVI-Intensivregister. Bevölkerungsdaten stammen aus der Genesis-Datenbank des statistischen Bundesamts beziehungsweise des Landesamts Berlin-Brandenburg.
Seit Beginn des Jahres 2020 und verstärkt in Zeiten der Corona-Pandemie verfolgt und bewertet die Redaktion und das SMC Lab täglich alle zugänglichen Daten und Meldezahlen zu COVID-19. Doch Zahlen, Fakten und Grafiken reichen für sich allein nicht aus, das komplexe Geschehen angemessen zu beschreiben und zu verstehen, was relevant ist.
Für informierte Diskussionen hatte das SMC Lab, seine Programmierer, Software-Experten und unser Statistiker bereits zu Jahresbeginn Tools zur Verfügung gestellt, damit die Redaktion interaktiv Daten zu COVID-19 verfolgen, diese visuell leicht erfassbar darzustellen und um wichtige Maßzahlen in Zeitreihen beobachten zu können - für Deutschland, die Bundesländer, die Kreise und kreisfreien Städte sowie International.
Diese Tools stellen wir nun schrittweise in interaktiven Apps zur Verfügung, damit Nutzerinnen und Nutzer dort Daten anschauen und downloaden können, die für Sie relevant sind.
Die Meldezahlen des Robert Koch-Instituts (RKI) zur Corona-Epidemie in Deutschland finden Sie unter diesem Link.
Die internationalen Meldezahlen der Weltgesundheitsorganisation WHO finden Sie unter diesem Link.
Wenn Sie Fragen zu diesen Daten haben oder Auswertungen für weitere Länder erhalten wollen, das SMC Lab kann Auswertungen erzeugen.
Volker Stollorz, Redaktionsleiter
Heinz Greuling, Leiter Innovation Digitale Medien
Meik Bittkowski, Leiter Softwareentwicklung und Datenwissenschaft
Lars Koppers, Gastwissenschaftler am SMC Lab
Telefon: +49 221 8888 25-0
E-Mail: redaktion@sciencemediacenter.de