SMC Corona Report
Dieser wöchentliche Report des Science Media Center Germany (SMC) fasst das aktuelle Corona-Geschehen anhand relevanter Kennzahlen zusammen und bietet neue Blickwinkel auf die verfügbaren Daten.
Das SMC verschafft Ihnen damit einen raschen Überblick über den Verlauf der gegenwärtigen Pandemie in Deutschland. Wir liefern nicht nur die nackten Zahlen, sondern ordnen die Statistiken und ihre zeitliche Entwicklung auch ein. So können Sie mit einem Blick die sich dynamisch verändernde aktuelle Situation erfassen.
Der Corona Report geht in eine Sommerpause und erscheint erst wieder in der 36. Kalenderwoche. Aus diesem Grund blicken wir in dieser Woche besonders auf die Maßzahlen, die in den kommenden Wochen besonders relevant werden können.
Da die Zahl der durchgeführten Erstimpfungen in den vergangenen Wochen stark gesunken ist, wird die Zahl der durchgeführten Zweitimpfungen in den kommenden Wochen voraussichtlich auch stark sinken. Dieser Effekt kann durch nachgeholte Zweitimpfungen etwas verlangsamt werden. Die minimale Zahl der Erstimpfungen, die mindestens fünf Wochen in der Vergangenheit liegen, ist zuletzt nur leicht gesunken.
Wie dem 6. COVIMO-Bericht zu entnehmen ist, unterschätzt die offizielle Impfquote wahrscheinlich die wahre Impfquote, da bisher nur die Hälfte der registrierten Betriebsärzte die Impfungen an das digitale Impfquotenmonitoring (DIM) gemeldet hat. Die Impfquote könnte dadurch bis zu 3,9 Prozentpunkte höher liegen. Bei den Impfquoten nach Altersklasse gibt es zusätzlich ein Problem mit der Meldung von Impfungen mit dem Johnson & Johnson Impfstoff, weshalb die DIM-Impfquoten noch einmal niedriger liegen als die wahre Impfquote der Bevölkerung. Zusätzlich unterliegen die COVIMO-Ergebnisse aufgrund der Telefonbefragung aller Wahrscheinlichkeit nach einem Selection-Bias, der die COVIMO-Impfquoten zu hoch ausfallen lässt.
Vergleicht man die Quoten mit denen, die für die Simulation in Intensivbettenbedarf für COVID‑19 im Herbst/Winter 2021 verwendet werden, zeigt sich, wie relevant der Unterschied in den Impfquoten sein kann. Bereits eine um 10 Prozentpunkte höhere Impfquote kann sich bei einer möglichen vierten Welle so auf das Infektionsgeschehen auswirken, dass die Belastung der Intensivstationen deutlich reduziert ist. In der Veröffentlichung wird ein pessimistisches und ein optimistisches Szenario betrachtet. Das pessimistische Szenario geht dabei von einer Impfquote von 73 Prozent bei den 15-59-Jährigen und von 85 Prozent bei den über 60-Jährigen aus. Im optimistischen Szenario liegen die beiden Impfquoten bei 79 und 95 Prozent. Die DIM-Impfquoten für die 18-59-Jährigen (die Altersklassen weichen leicht ab) liegen aktuell bei 63,1 Prozent Erstimpfungen und bei den über 60-Jährigen bei 85,5 Prozent. Diese Quoten liegen zum Teil deutlich unter dem pessimistischen Szenario. Die Umfrageergebnisse aus dem 6. COVIMO-Bericht liegen wiederum in der Größenordnung des optimistischen Szenarios. Da die COVIMO-Quoten vermutlich eher zu hoch liegen, die DIM-Quoten aber zu niedrig, liegt die wahre Impfquote zwischen den beiden Szenarien, da mit den oben beschriebenen Unzulänglichkeiten der DIM-Impfquoten, insbesondere für die Altersklasse der 18-59-Jährigen, die Quote für die Erstimpfungen bereits jetzt in der Größenordnung des pessimistischen Szenarios liegen könnte. In den kommenden Wochen müssen die ausstehenden Zweitimpfungen durchgeführt werden, um den vollen Impfschutz herzustellen. Um die Impfquoten für das optimistische Szenario zu erreichen, müssen insbesondere bei den über 60-Jährigen noch weitere Menschen geimpft werden. Der Fortschritt in dieser Altersklasse ist in den kommenden Wochen besonders wichtig.
Die Entwicklung der Inzidenz ist weiterhin ein guter Frühindikator. Das aktuelle wöchentliche Wachstum von etwa 30 Prozent würde innerhalb von vier Wochen zu einer Inzidenz von etwa 70 führen. Bemerkenswert wäre hier ein wöchentliches Wachstum, das deutlich höher liegt und so zu einer beschleunigten Entwicklung führen würde. Zusätzlich zur allgemeinen Inzidenz sollte in den kommenden Wochen das Wachstum der Inzidenzen der Altersgruppe ab 60 Jahren beobachtet werden, da dieses weiterhin ein guter Frühindikator für die Entwicklung auf den Intensivstationen ist. Zuletzt schwankte das Wachstum dieser Inzidenz stark.
Die Zahl der mit COVID-19-Fällen belegten Betten ist zuletzt wieder gestiegen. Beim aktuellen Wachstum von etwa 20 Prozent würden erst in fünf Wochen wieder mehr als 1000 Betten belegt sein. Da das Inzidenzwachstum bei den über 60-Jährigen wieder gesunken ist, kann kurzfristig das Wachstum auf den Intensivstationen ebenfalls ausgebremst werden. Da das Wachstum in den Bundesländern unterschiedlich ausfällt, lohnt sich hier ein Blick auf die Grafiken des Intensivregisters, die auch nach Bundesland aufgeschlüsselt sind.
Der Wochenbericht des RKI der vergangenen Woche zeigt, dass neben der aktuellen Delta-Variante und einem Restanteil der im Frühjahr dominanten Alpha-Variante zuletzt andere Varianten nur sehr schwach vertreten waren. Die übrigen Varianten machten in der 29. Kalenderwoche nur noch einen Anteil von 0,4 Prozent aus. Kurzfristig ist also aktuell keine starke Veränderung bei den Varianten in Deutschland zu erwarten.
Die Grafik zeigt den über sieben Tage geglätteten Verlauf der täglichen Impfungen insgesamt und nach Erst- beziehungsweise Zweitimpfung getrennt. Die Zahl der durchgeführten Impfungen sinkt weiterhin. Auch die Zahl der durchgeführten Zweitimpfungen sinkt jetzt deutlich.

Downloads:Als PNG.

Downloads:Als PNG.
Die Zahl der Personen, die nach einer Erstimpfung die Zweitimpfung auslassen, lässt sich nur grob abschätzen. Aus der folgenden Grafik ist ersichtlich, dass ab Mitte Mai die Zahl der Personen mit Erst- aber ohne Zweitimpfung stetig sinkt. Die Zahl der Personen, die den Zeitpunkt für die Zweitimpfung haben verstreichen lassen, lässt sich nur abschätzen, da die Impfabstände für die unterschiedlichen Impfstoffe verschieden sind. Um die Zahl eher zu klein als zu groß zu schätzen, werden hier von der Zahl der offenen Zweitimpfungen alle Erstimpfungen abgezogen, die weniger als fünf Wochen in der Vergangenheit liegen. Diese Zahl stieg bis Mitte Juni noch, da zu diesem Zeitpunkt noch Zweitimpfungen mit dem Vektorimpfstoff von AstraZeneca ausstanden, bei dem zwischenzeitlich ein Impfabstand von 12 Wochen gewählt wurde. Ab Mitte Juni sinkt die Zahl der offenen Impfungen mit über fünf Wochen Abstand, da diese Zweitimpfungen durchgeführt wurden. Seit einer Woche steigt nun wieder die Zahl der seit mindestens fünf Wochen offenen Zweitimpfungen, so lässt sich abschätzen, dass die Zahl der nicht genutzten Zweitimpfungen aktuell bei etwa 2 Millionen liegt. Werden Impfungen nachgeholt, sinkt diese Zahl wieder, andersherum lassen Zweitimpfungen, die in einem kürzeren Intervall als fünf Wochen durchgeführt werden, die Zahl zu niedrig ausfallen. Da die Zahl der Erstimpfungen stetig sinkt, werden wir in den kommenden Wochen ein immer genaueres Bild bekommen, wie viele Zweitimpfungen ausgelassen werden. In den vergangenen Wochen schwankte die Zahl der über 5 Wochen alten Erstimpfungen ohne Zweitimpfung nur leicht. Insgesamt fällt die Zahl der offenen Zweitimpfungen weiterhin deutlich.

Downloads:Als PNG.
Die Grafik zeigt die Inzidenzen einmal für alle Altersgruppen und einmal ab 60 Jahren. Die Fallzahlen steigen weiterhin.

Downloads:Als PNG.
Die Grafik zeigt für jeden Tag das prozentuale Wachstum der geglätteten Fallzahlen im Vergleich zur Vorwoche. Dabei werden einmal alle gemeldeten Fälle berücksichtigt und einmal nur Fälle mit einem Alter von mindestens 60 Jahren. Das Wachstum in der Altersgruppe ab 60 Jahren ist wieder deutlich gefallen.

Downloads:Als PNG.
Im Folgenden wird das Wachstum der Inzidenz vom 07.08.2021 im Vergleich zur Vorwoche betrachtet. In mehreren Bundesländern ist das Wachstum gering, in mehr als der Hälfte der Bundesländer liegt das Wachstum bei über 25 Prozent pro Woche.

Downloads:Als PNG.

Downloads:Als PNG.
Die Zahl der COVID-19-Fälle auf den Intensivstationen steigt wieder.

Downloads:Als PNG.
Einen besseren Eindruck von der aktuell beschleunigten Dynamik bekommt man – wie immer bei exponentiellem Wachstum –, wenn man auf das prozentuale Wachstum schaut. In der folgenden Grafik ist das prozentuale Wachstum der mit COVID-19-Fällen belegten Intensivbetten im Vergleich zur Vorwoche abgetragen. Zusätzlich ist auch das um eine Woche verschobene Wachstum der gemeldeten Fallzahlen der Altersgruppen ab 60 Jahren dargestellt. Da gemeldete Fälle in der Regel erst nach einigen Tagen intensivmedizinisch behandelt werden müssen – sofern sie diese Behandlung benötigen, sind durch diese Verschiebung die Wachstumsraten besser zu vergleichen.
Aktuell gibt es etwa 20 Prozent wöchentliches Wachstum bei den mit COVID-19-Fällen belegten Betten auf den Intensivstationen. Damit folgt das Wachstum auf den Intensivstationen dem Inzidenzwachstum in den Altersgruppen über 60 Jahren, allerdings nicht in der gleichen Größenordnung.

Downloads:Als PNG.
Die Grafik zeigt die Inzidenzen in den Altersgruppen nach Kalenderwoche.
Alle Altersgruppen weisen ein Wachstum der Inzidenzen auf.

Downloads:Als PNG.

Downloads:Als PNG.
Da die Zahl der neu bestätigten Infektionsfälle (blaue Balken) im Wochenrhythmus schwankt, wird an dieser Stelle auch ein Mittelwert der jeweils vergangenen sieben Tage angegeben (blaue Linie). Da die vergangenen sieben Tage betrachtet werden, läuft dieser Wert den Meldezahlen immer etwas nach.

Downloads:Als PNG.
Für die Bewertung der aktuellen Situation ist die Einschätzung wichtig, ob sich das Infektionsgeschehen gleichmäßig über Deutschland verteilt oder ob es einzelne Hotspots und lokale Ausbrüche gibt. Auch wenn die Meldedaten nur ein unzureichendes Bild über das Infektionsgeschehen bieten, können sie daraufhin analysiert werden.
Ein bekanntes Maß für Ungleichheit ist der sogenannte Gini-Koeffizient, eine Zahl zwischen Null und Eins. Nehmen wir etwa die Vermögensverteilung in einem Land. Der Gini-Koeffizient nimmt den Wert Eins an, wenn einer allein alles hat und Null, wenn alle gleich viel besitzen.
Angewendet auf die tägliche Zahl der Neuinfektionen in den Kreisen würde allerdings schon allein durch die unterschiedliche Größe der Kreise eine Ungleichheit entstehen und Unterschiede vorgetäuscht. Aus diesem Grund wird die Ungleichheit im Infektionsgeschehen hier auf Basis der Inzidenz berechnet.
Ende Februar war die Ungleichheit bei den gemeldeten Fällen noch sehr groß, fiel dann aber mit steigender Fallzahl ab, da sich das Virus über Deutschland verteilte. Auch in den Hochzeiten waren die gemeldeten Inzidenzen nicht gleichmäßig verteilt.

Downloads:Als PNG.
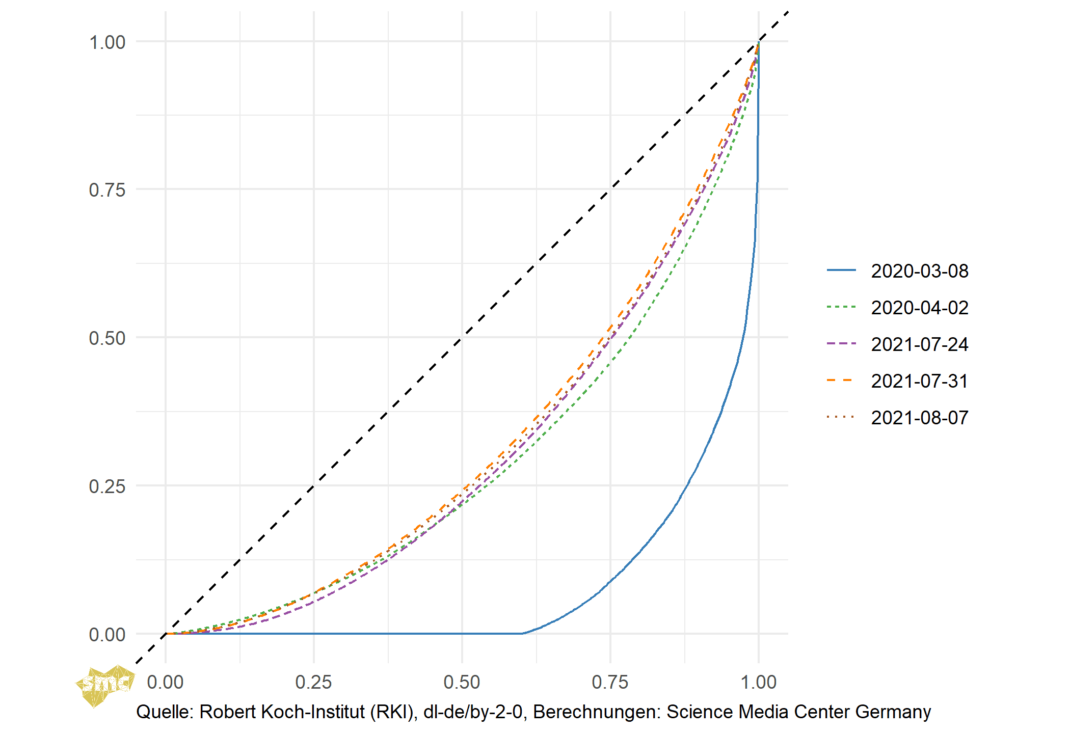
Neben der zeitlichen Betrachtung ist als Querschnitt auch eine Betrachtung der Verteilung in den Landkreisen zu einem bestimmten Zeitpunkt möglich. Die sogenannte Lorenzkurve zeigt, wie viel Prozent der Landkreise (X-Achse) wie viel Prozent der pro Landkreis aufsummierten Inzidenzen ausmachen. Dabei ist wichtig, dass es sich um diese relative Maßzahl handelt und nicht um die absolute, direkte Zahl der Infektionsfälle! München geht in diese Berechnung mit dem gleichen Gewicht ein wie Zweibrücken.
Je näher eine Lorenzkurve an der Diagonalen liegt, desto gleichmäßiger ist die Maßzahl verteilt, eine Kurve, die weit davon entfernt ist, zeugt von einer ungleichen Verteilung.
Betrachtet werden verschiedene Zeitpunkte:

Downloads:Als PNG.
Die Tatsache, dass die Kreise in Deutschland sehr unterschiedliche Einwohnerzahlen haben, macht die Vergleichbarkeit schwer. Relative Maßzahlen können bei kleinen Kreisen dazu führen, dass Zufallsschwankungen großen Einfluss haben, große Kreise haben bei gleicher relativer Anzahl viel mehr Fälle, sodass sie bei absoluten Maßzahlen eher auffallen.
Die folgenden beiden Tabellen enthalten vier verschiedene Maßzahlen. Für den 9.08.2021 werden jeweils die für sieben Tage geglätteten Fallzahlen pro Tag und die Inzidenz angegeben. Darüber hinaus wird jeweils die Differenz der Maßzahl zu dem Wert vom 2.08.2021 angegeben, um eine Veränderung zur Vorwoche zu betrachten.
Die erste Tabelle zeigt die zehn Kreise mit den höchsten Differenzen der Fallzahlen zur Vorwoche, in der zweiten Tabelle werden die Kreise mit den höchsten Differenzen der Inzidenz zur Vorwoche angegeben. Während auf Grund der absoluten Maßzahl in der ersten Tabelle eher große Kreise enthalten sind, werden in der zweiten Tabelle tendenziell kleinere Kreise aufgezählt. Beide Tabellen geben keine Aussage darüber, ob hier steigende Fallzahlen im gesamten Kreis oder nur in einigen Einrichtungen vorliegen.
| Landkreis | Differenz Fälle pro Tag | Fallzahlen pro Tag | Differenz Inzidenz | Inzidenz |
|---|---|---|---|---|
| SK Hamburg | 89.4 | 187.1 | 33.9 | 70.9 |
| SK Mönchengladbach | 15.6 | 27.3 | 41.8 | 73.2 |
| SK Kiel | 14.6 | 28.1 | 41.3 | 79.8 |
| LK Recklinghausen | 14.4 | 30.1 | 16.5 | 34.4 |
| LK Pinneberg | 12.4 | 30.0 | 27.5 | 66.4 |
| LK Minden-Lübbecke | 10.7 | 20.0 | 24.2 | 45.1 |
| SK Köln | 10.1 | 78.1 | 6.5 | 50.3 |
| SK Berlin Reinickendorf | 9.7 | 21.7 | 25.6 | 57.1 |
| LK Mettmann | 9.3 | 28.0 | 13.4 | 40.4 |
| SK Bochum | 9.3 | 26.4 | 17.8 | 50.6 |
| Landkreis | Differenz Fälle pro Tag | Fallzahlen pro Tag | Differenz Inzidenz | Inzidenz |
|---|---|---|---|---|
| SK Flensburg | 8.1 | 11.7 | 63.2 | 90.9 |
| SK Frankenthal | 3.4 | 4.7 | 49.2 | 67.7 |
| SK Mönchengladbach | 15.6 | 27.3 | 41.8 | 73.2 |
| SK Kiel | 14.6 | 28.1 | 41.3 | 79.8 |
| SK Neumünster | 4.6 | 9.9 | 39.9 | 86.0 |
| LK Plön | 6.6 | 9.7 | 35.7 | 52.8 |
| SK Hamburg | 89.4 | 187.1 | 33.9 | 70.9 |
| SK Bottrop | 5.0 | 7.3 | 29.8 | 43.4 |
| LK Prignitz | 3.1 | 3.7 | 28.8 | 34.1 |
| LK Stendal | 4.4 | 5.7 | 27.9 | 36.0 |
Diesem Report liegen die Daten des Robert Koch-Instituts (RKI) zu Grunde, die auf GitHub zur Verfügung gestellt werden. Da ein Teil der Daten erst Tage nach dem offiziellen Meldedatum vom RKI erfasst werden, können sich diese auch nachträglich ändern. Insbesondere die jüngsten Daten unterliegen in der Regel noch starken Veränderungen und werden in diesem Report deswegen grau hinterlegt. Der Datensatz ist nach den Landkreisen und kreisfreien Städten, Berlin zusätzlich in die Bezirke aufgeteilt. Die Zahl der nicht diagnostizierten Fälle ist unbekannt und daher nicht enthalten.
Weitere Datenquellen sind die SurvStat-Datenbank des RKI und das DIVI-Intensivregister. Bevölkerungsdaten stammen aus der Genesis-Datenbank des statistischen Bundesamts beziehungsweise des Landesamts Berlin-Brandenburg.
Der in diesem Bericht verwendete Begriff Inzidenz ist allgemein als die Häufigkeit der in einer Zeitspanne neu auftretenden Fälle einer Erkrankung innerhalb einer Population definiert. Hier sind damit immer die in den vergangenen sieben Tagen gemeldeten Fälle pro 100 000 Personen gemeint.
Seit Beginn des Jahres 2020 und verstärkt in Zeiten der Corona-Pandemie verfolgt und bewertet die Redaktion und das SMC Lab täglich alle zugänglichen Daten und Meldezahlen zu COVID-19. Doch Zahlen, Fakten und Grafiken reichen für sich allein nicht aus, das komplexe Geschehen angemessen zu beschreiben und zu verstehen, was relevant ist.
Für informierte Diskussionen hatte das SMC Lab, seine Programmierer, Software-Experten und unser Statistiker bereits zu Jahresbeginn Tools zur Verfügung gestellt, damit die Redaktion interaktiv Daten zu COVID-19 verfolgen, diese visuell leicht erfassbar darzustellen und um wichtige Maßzahlen in Zeitreihen beobachten zu können - für Deutschland, die Bundesländer, die Kreise und kreisfreien Städte sowie International.
Diese Tools stellen wir nun schrittweise in interaktiven Apps zur Verfügung, damit Nutzerinnen und Nutzer dort Daten anschauen und downloaden können, die für Sie relevant sind.
Die Meldezahlen des Robert Koch-Instituts (RKI) zur Corona-Epidemie in Deutschland finden Sie unter diesem Link.
Die internationalen Meldezahlen der Weltgesundheitsorganisation WHO finden Sie unter diesem Link.
Wenn Sie Fragen zu diesen Daten haben oder Auswertungen für weitere Länder erhalten wollen, das SMC Lab kann Auswertungen erzeugen.
Lars Koppers, Gastwissenschaftler am SMC Lab
Heinz Greuling, Leiter Innovation Digitale Medien
Marleen Halbach, Redaktionsleiterin
Telefon: +49 221 8888 25-0
E-Mail: redaktion@sciencemediacenter.de