SMC Corona Report
Dieser wöchentliche Report des Science Media Center Germany (SMC) fasst das aktuelle Corona-Geschehen anhand relevanter Kennzahlen zusammen und bietet neue Blickwinkel auf die verfügbaren Daten.
Das SMC verschafft Ihnen damit einen raschen Überblick über den Verlauf der gegenwärtigen Pandemie in Deutschland. Wir liefern nicht nur die nackten Zahlen, sondern ordnen die Statistiken und ihre zeitliche Entwicklung auch ein. So können Sie mit einem Blick die sich dynamisch verändernde aktuelle Situation erfassen.
Das Wachstum der Inzidenzen hat sich verlangsamt und liegt aktuell nur noch um 30 Prozent pro Woche. Im Vereinigten Königreich sinken die Inzidenzen aktuell so stark, dass die Inzidenz innerhalb einer Woche um mehr als ein Drittel zurückgegangen ist. Auch in anderen europäischen Ländern mit hohen Inzidenzen wie Spanien oder den Niederlanden zeichnet sich eine Trendwende bei den Inzidenzen ab.
In Deutschland liegt das Inzidenzwachstum in den Altersgruppen ab 60 Jahren jetzt oberhalb des Wachstums der Inzidenz der Gesamtbevölkerung. Die Entwicklung der Inzidenzen in diesen Altersgruppen ist besonders wichtig für die Entwicklung der Situation in den Krankenhäusern.
Eine hohe Impfquote in den oberen Altersgruppen führt bei gleicher Inzidenz zu einer niedrigeren Belastung des Gesundheitssystems. In einem Extra-Report vergleichen wir die Impfquoten in verschiedenen Altersgruppen in Großbritannien, Israel und Deutschland. In Deutschland fällt dabei insbesondere die vergleichsweise niedrige Impfquote in der Altersgruppe ab 60 Jahren auf. Während die Erstimpfquote bei den 12- bis 17-Jährigen fast 20 Prozent erreicht hat, sind nur 78,6 Prozent der über 60-Jährigen vollständig geimpft. In Israel sind in dieser Altersgruppe 89,5 Prozent vollständig geimpft, in Schottland sind es sogar 97,6 Prozent.
Die Grafik zeigt den über sieben Tage geglätteten Verlauf der täglichen Impfungen insgesamt und nach Erst- beziehungsweise Zweitimpfung getrennt. Die Zahl der durchgeführten Impfungen sinkt weiterhin.

Downloads:Als PNG.
Alle Impfstoffe werden langsamer verimpft als sie geliefert werden.

Downloads:Als PNG.
Die Grafik zeigt die Inzidenzen einmal für alle Altersgruppen und einmal ab 60 Jahren. Die Fallzahlen steigen wieder. Auch in der Altersgruppe ab 60 Jahren nimmt die Zahl der Fälle zu.

Downloads:Als PNG.
Die Grafik zeigt für jeden Tag das prozentuale Wachstum der geglätteten Fallzahlen im Vergleich zur Vorwoche. Dabei werden einmal alle gemeldeten Fälle berücksichtigt und einmal nur Fälle mit einem Alter von mindestens 60 Jahren. Was Wachstum in der Gesamtbevölkerung hat sich verlangsamt, bei den ab 60-Jährigen liegt das Wachstum inzwischen über dem in der Gesamtbevölkerung.

Downloads:Als PNG.
Im Folgenden wird das Wachstum der Inzidenz vom 24.07.2021 im Vergleich zur Vorwoche betrachtet. In mehreren Bundesländern liegt das Wachstum unter 10 Prozent, in Sachsen-Anhalt und Brandenburg sinken die Inzidenzen sogar.

Downloads:Als PNG.

Downloads:Als PNG.
Die Zahl der COVID-19-Fälle auf den Intensivstationen hat sich stabilisiert.

Downloads:Als PNG.
Einen besseren Eindruck von der aktuell beschleunigten Dynamik bekommt man – wie immer bei exponentiellem Wachstum –, wenn man auf das prozentuale Wachstum schaut. In der folgenden Grafik ist das prozentuale Wachstum der mit COVID-19-Fällen belegten Intensivbetten im Vergleich zur Vorwoche abgetragen. Zusätzlich ist auch das um eine Woche verschobene Wachstum der gemeldeten Fallzahlen der Altersgruppen ab 60 Jahren dargestellt. Da gemeldete Fälle in der Regel erst nach einigen Tagen intensivmedizinisch behandelt werden müssen – sofern sie diese Behandlung benötigen, sind durch diese Verschiebung die Wachstumsraten besser zu vergleichen.
Aktuell gibt es kein Wachstum bei den mit COVID-19-Fällen belegten Betten auf den Intensivstationen, gleichzeitig wachsen die Inzidenzen in der Altersgruppe ab 60 Jahren aber noch.

Downloads:Als PNG.
Die Grafik zeigt die Inzidenzen in den Altersgruppen nach Kalenderwoche.
Alle Altersgruppen weisen ein Wachstum der Inzidenzen auf. Das höchste Wachstum ist inzwischen nicht mehr in den Altersgruppen zwischen 15 und 29 Jahren, auch in den oberen Altersgruppen hat das Wachstum zuletzt deutlich zugenommen. Die Altersgruppen zwischen 15 und 29 Jahren zeigen aber weiterhin die höchsten Inzidenzen auf.

Downloads:Als PNG.

Downloads:Als PNG.
Da die Zahl der neu bestätigten Infektionsfälle (blaue Balken) im Wochenrhythmus schwankt, wird an dieser Stelle auch ein Mittelwert der jeweils vergangenen sieben Tage angegeben (blaue Linie). Da die vergangenen sieben Tage betrachtet werden, läuft dieser Wert den Meldezahlen immer etwas nach.

Downloads:Als PNG.
Für die Bewertung der aktuellen Situation ist die Einschätzung wichtig, ob sich das Infektionsgeschehen gleichmäßig über Deutschland verteilt oder ob es einzelne Hotspots und lokale Ausbrüche gibt. Auch wenn die Meldedaten nur ein unzureichendes Bild über das Infektionsgeschehen bieten, können sie daraufhin analysiert werden.
Ein bekanntes Maß für Ungleichheit ist der sogenannte Gini-Koeffizient, eine Zahl zwischen Null und Eins. Nehmen wir etwa die Vermögensverteilung in einem Land. Der Gini-Koeffizient nimmt den Wert Eins an, wenn einer allein alles hat und Null, wenn alle gleich viel besitzen.
Angewendet auf die tägliche Zahl der Neuinfektionen in den Kreisen würde allerdings schon allein durch die unterschiedliche Größe der Kreise eine Ungleichheit entstehen und Unterschiede vorgetäuscht. Aus diesem Grund wird die Ungleichheit im Infektionsgeschehen hier auf Basis der Inzidenz berechnet.
Ende Februar war die Ungleichheit bei den gemeldeten Fällen noch sehr groß, fiel dann aber mit steigender Fallzahl ab, da sich das Virus über Deutschland verteilte. Auch in den Hochzeiten waren die gemeldeten Inzidenzen nicht gleichmäßig verteilt.

Downloads:Als PNG.
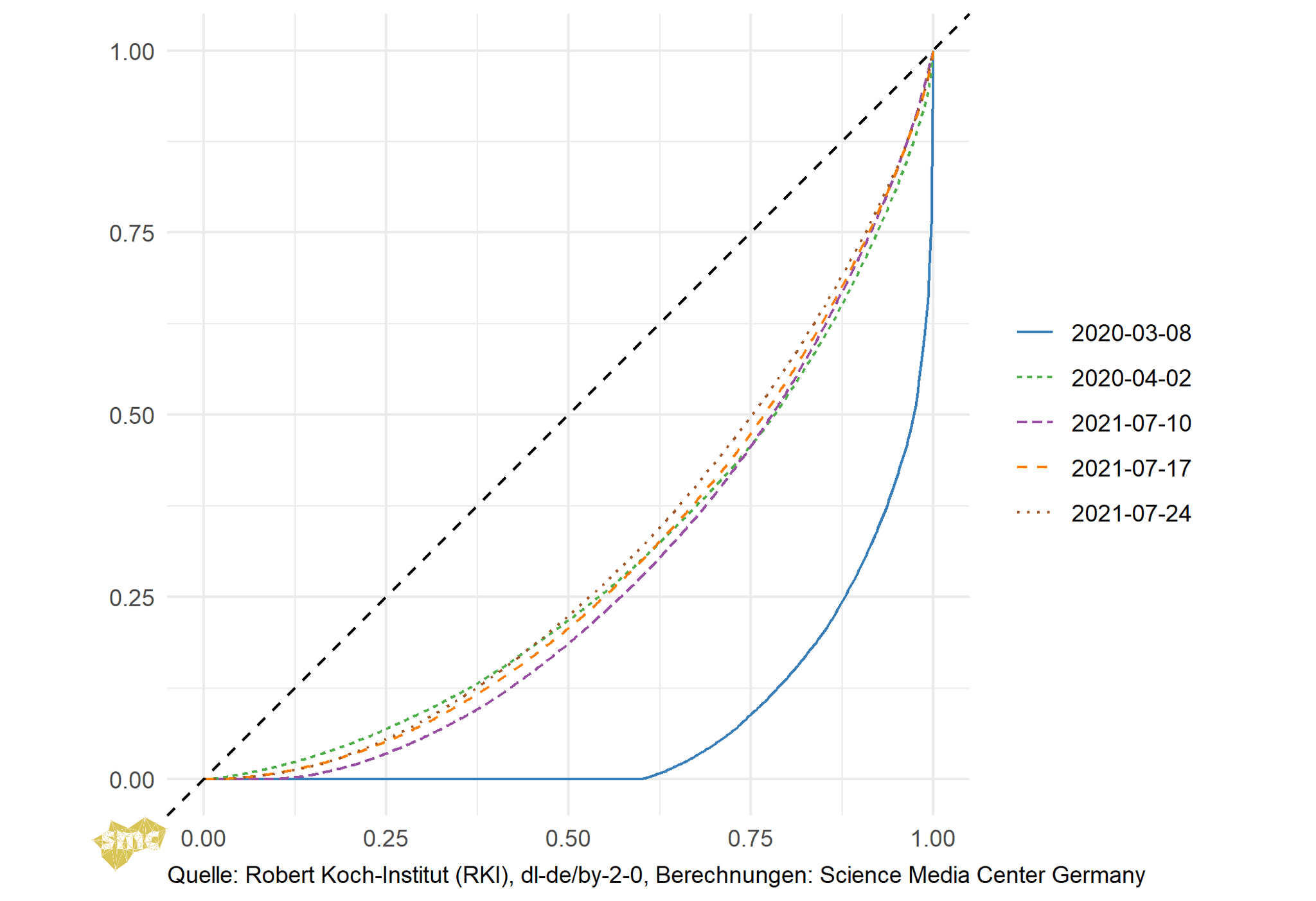
Neben der zeitlichen Betrachtung ist als Querschnitt auch eine Betrachtung der Verteilung in den Landkreisen zu einem bestimmten Zeitpunkt möglich. Die sogenannte Lorenzkurve zeigt, wie viel Prozent der Landkreise (X-Achse) wie viel Prozent der pro Landkreis aufsummierten Inzidenzen ausmachen. Dabei ist wichtig, dass es sich um diese relative Maßzahl handelt und nicht um die absolute, direkte Zahl der Infektionsfälle! München geht in diese Berechnung mit dem gleichen Gewicht ein wie Zweibrücken.
Je näher eine Lorenzkurve an der Diagonalen liegt, desto gleichmäßiger ist die Maßzahl verteilt, eine Kurve, die weit davon entfernt ist, zeugt von einer ungleichen Verteilung.
Betrachtet werden verschiedene Zeitpunkte:

Downloads:Als PNG.
Die Tatsache, dass die Kreise in Deutschland sehr unterschiedliche Einwohnerzahlen haben, macht die Vergleichbarkeit schwer. Relative Maßzahlen können bei kleinen Kreisen dazu führen, dass Zufallsschwankungen großen Einfluss haben, große Kreise haben bei gleicher relativer Anzahl viel mehr Fälle, sodass sie bei absoluten Maßzahlen eher auffallen.
Die folgenden beiden Tabellen enthalten vier verschiedene Maßzahlen. Für den 26.07.2021 werden jeweils die für sieben Tage geglätteten Fallzahlen pro Tag und die Inzidenz angegeben. Darüber hinaus wird jeweils die Differenz der Maßzahl zu dem Wert vom 19.07.2021 angegeben, um eine Veränderung zur Vorwoche zu betrachten.
Die erste Tabelle zeigt die zehn Kreise mit den höchsten Differenzen der Fallzahlen zur Vorwoche, in der zweiten Tabelle werden die Kreise mit den höchsten Differenzen der Inzidenz zur Vorwoche angegeben. Während auf Grund der absoluten Maßzahl in der ersten Tabelle eher große Kreise enthalten sind, werden in der zweiten Tabelle tendenziell kleinere Kreise aufgezählt. Beide Tabellen geben keine Aussage darüber, ob hier steigende Fallzahlen im gesamten Kreis oder nur in einigen Einrichtungen vorliegen.
| Landkreis | Differenz Fälle pro Tag | Fallzahlen pro Tag | Differenz Inzidenz | Inzidenz |
|---|---|---|---|---|
| SK Hamburg | 35.1 | 84.0 | 13.3 | 31.8 |
| LK Lüneburg | 15.7 | 19.1 | 59.8 | 72.8 |
| Region Hannover | 15.1 | 53.7 | 9.2 | 32.5 |
| LK Rhein-Erft-Kreis | 13.4 | 16.0 | 20.0 | 23.8 |
| SK München | 11.9 | 53.7 | 5.6 | 25.3 |
| SK Düsseldorf | 11.6 | 37.9 | 13.0 | 42.6 |
| LK Stadtverband Saarbrücken | 8.0 | 13.0 | 17.1 | 27.7 |
| SK Duisburg | 7.7 | 14.6 | 10.9 | 20.5 |
| SK Dortmund | 7.6 | 14.0 | 9.1 | 16.7 |
| SK Köln | 7.6 | 47.9 | 4.9 | 30.8 |
| Landkreis | Differenz Fälle pro Tag | Fallzahlen pro Tag | Differenz Inzidenz | Inzidenz |
|---|---|---|---|---|
| LK Lüneburg | 15.7 | 19.1 | 59.8 | 72.8 |
| LK Berchtesgadener Land | 7.1 | 9.0 | 47.2 | 59.5 |
| LK Südliche Weinstraße | 6.0 | 7.7 | 38.0 | 48.9 |
| SK Solingen | 6.7 | 14.1 | 29.5 | 62.2 |
| SK Wolfsburg | 4.3 | 7.3 | 24.1 | 41.0 |
| LK Hohenlohekreis | 3.6 | 5.9 | 22.2 | 36.4 |
| LK Donau-Ries | 4.1 | 5.1 | 21.7 | 26.9 |
| SK Flensburg | 2.7 | 3.3 | 21.1 | 25.5 |
| LK Schwandorf | 4.3 | 5.9 | 20.3 | 27.7 |
| LK Rhein-Erft-Kreis | 13.4 | 16.0 | 20.0 | 23.8 |
Diesem Report liegen die Daten des Robert Koch-Instituts (RKI) zu Grunde, die im esri COVID-19 GeoHub zur Verfügung gestellt werden. Da ein Teil der Daten erst Tage nach dem offiziellen Meldedatum vom RKI erfasst werden, können sich diese auch nachträglich ändern. Insbesondere die jüngsten Daten unterliegen in der Regel noch starken Veränderungen und werden in diesem Report deswegen grau hinterlegt. Der Datensatz ist nach den Landkreisen und kreisfreien Städten, Berlin zusätzlich in die Bezirke aufgeteilt. Die Zahl der nicht diagnostizierten Fälle ist unbekannt und daher nicht enthalten.
Weitere Datenquellen sind die SurvStat-Datenbank des RKI und das DIVI-Intensivregister. Bevölkerungsdaten stammen aus der Genesis-Datenbank des statistischen Bundesamts beziehungsweise des Landesamts Berlin-Brandenburg.
Der in diesem Bericht verwendete Begriff Inzidenz ist allgemein als die Häufigkeit der in einer Zeitspanne neu auftretenden Fälle einer Erkrankung innerhalb einer Population definiert. Hier sind damit immer die in den vergangenen sieben Tagen gemeldeten Fälle pro 100 000 Personen gemeint.
Seit Beginn des Jahres 2020 und verstärkt in Zeiten der Corona-Pandemie verfolgt und bewertet die Redaktion und das SMC Lab täglich alle zugänglichen Daten und Meldezahlen zu COVID-19. Doch Zahlen, Fakten und Grafiken reichen für sich allein nicht aus, das komplexe Geschehen angemessen zu beschreiben und zu verstehen, was relevant ist.
Für informierte Diskussionen hatte das SMC Lab, seine Programmierer, Software-Experten und unser Statistiker bereits zu Jahresbeginn Tools zur Verfügung gestellt, damit die Redaktion interaktiv Daten zu COVID-19 verfolgen, diese visuell leicht erfassbar darzustellen und um wichtige Maßzahlen in Zeitreihen beobachten zu können - für Deutschland, die Bundesländer, die Kreise und kreisfreien Städte sowie International.
Diese Tools stellen wir nun schrittweise in interaktiven Apps zur Verfügung, damit Nutzerinnen und Nutzer dort Daten anschauen und downloaden können, die für Sie relevant sind.
Die Meldezahlen des Robert Koch-Instituts (RKI) zur Corona-Epidemie in Deutschland finden Sie unter diesem Link.
Die internationalen Meldezahlen der Weltgesundheitsorganisation WHO finden Sie unter diesem Link.
Wenn Sie Fragen zu diesen Daten haben oder Auswertungen für weitere Länder erhalten wollen, das SMC Lab kann Auswertungen erzeugen.
Lars Koppers, Gastwissenschaftler am SMC Lab
Heinz Greuling, Leiter Innovation Digitale Medien
Marleen Halbach, Redaktionsleiterin
Telefon: +49 221 8888 25-0
E-Mail: redaktion@sciencemediacenter.de