SMC Corona Report
Dieser wöchentliche Report des Science Media Center Germany (SMC) fasst das aktuelle Corona-Geschehen anhand relevanter Kennzahlen zusammen und bietet neue Blickwinkel auf die verfügbaren Daten.
Das SMC verschafft Ihnen damit einen raschen Überblick über den Verlauf der gegenwärtigen Pandemie in Deutschland. Wir liefern nicht nur die nackten Zahlen, sondern ordnen die Statistiken und ihre zeitliche Entwicklung auch ein. So können Sie mit einem Blick die sich dynamisch verändernde aktuelle Situation erfassen.
Nachdem in den vergangenen Kalenderwochen laut Varianten-Bericht des RKI nur einen moderaten Anstieg des Anteils der B.1.617.2-Variante festgestellt wurde, ist der Anteil in der 23. Kalenderwoche jetzt stärker gestiegen. Der stärkere Anstieg ist zum einen dem weiterhin starken Rückgang der anderen Varianten geschuldet, zum anderen liegt die Varianten-Inzidenz mit etwa 2,5 etwas höher als in den vorangegangenen drei Kalenderwochen. Ob dies ein beginnender Anstieg oder eine übliche Schwankung der Inzidenz ist, werden erst die kommenden Berichte zeigen. In den vergangenen Wochen lag die Varianten-Inzidenz zwischen 1,3 und 2,2, mit keinem klaren Trend über diesen Zeitraum.
Die Zahl der verfügbaren Impfdosen im Juni ist weiterhin hoch. Dadurch, dass in der vergangenen Woche mehr Zweitimpfungen als prognostiziert durchgeführt wurden, ist aktuell kein Impfstoffmangel Ende Juli erwartbar, da die Zahl der notwendigen Zweitimpfungen durch die ausgebliebenen ERstimpfungen der vergangenen Woche reduziert wurden. Durch weitere Ankündigungen von Lieferungen der Hersteller von Vektorimpfstoffen, entspannt sich die Lage weiterhin, so dass im Juli zum ersten mal der Mangel an impfwilliger Bevölkerung den Impffortschritt bremsen kann.
Da immer mehr Impfstoff verfügbar ist, kann sich auch das Impftempo beschleunigen. Die Grafik zeigt den über sieben Tage geglätteten Verlauf der täglichen Impfungen insgesamt und nach Erst- beziehungsweise Zweitimpfung getrennt. Aktuell bleibt die Zahl der durchgeführten Impfungen hoch, im Laufe des Julis wird sie vorraussichtlich sinken, da es dann kaum noch ungeimpfte Impfwilligen geben wird.

Downloads:Als PNG.

Downloads:Als PNG.
Eine Prognose der Impfquote anhand der angekündigten Liefermenge ist nicht ganz einfach aufzustellen: Je nach Impfstoff variiert die Zahl der Wochen bis zur Zweitimpfung. In der Vergangenheit wurden andere Intervalle empfohlen und in der Praxis wird schon einmal etwas davon abgewichen.
Für diese Prognose wurden verschiedene vereinfachende Annahmen getroffen:
Die beiden schwarzen Linien in der Grafik markieren die erreichbaren Impfquoten, wenn alle Personen ab 12 Jahren eine Impfbereitschaft von 80 Prozent beziehungsweise 70 Prozent zeigen.
Aufgrund weiterer angekündigter Lieferungen und einer Korrektur in der Berechnung der Prognose (die bereits durchgeführten Johnson & Johnson Impfungen wurden fälschlicherweise nicht zu den Erstimpfungen hizugezählt), hat sich die Prognose zur Vorwoche deutlich verbessert. Werden die angekündigten Liefermengen eingehalten, ist Impfstoffmangel im Laufe des Juli kein Problem mehr.

Downloads:Als PNG.
Die Grafik zeigt die Inzidenzen einmal für alle Altersgruppen und einmal ab 60 Jahren. Die Fallzahlen sinken weiter.

Downloads:Als PNG.
Die Grafik zeigt für jeden Tag das prozentuale Wachstum der geglätteten Fallzahlen im Vergleich zur Vorwoche. Dabei werden einmal alle gemeldeten Fälle berücksichtigt und einmal nur Fälle mit einem Alter von mindestens 60 Jahren. Der Rückgang der Inzidenzen liegt bei fast 50 Prozent.

Downloads:Als PNG.
Im Folgenden wird das Wachstum der Inzidenz vom 19.06.2021 im Vergleich zur Vorwoche betrachtet. Die Inzidenzen sinken in allen Bundesländern.

Downloads:Als PNG.

Downloads:Als PNG.
Die Zahl der COVID-19-Fälle auf den Intensivstationen sinkt weiterhin. Durch die allgemein sinkenden Inzidenzen ist ein weiteres Sinken zu erwarten.

Downloads:Als PNG.
Einen besseren Eindruck von der aktuell beschleunigten Dynamik bekommt man – wie immer bei exponentiellem Wachstum –, wenn man auf das prozentuale Wachstum schaut. In der folgenden Grafik ist das prozentuale Wachstum der mit COVID-19-Fällen belegten Intensivbetten im Vergleich zur Vorwoche abgetragen. Zusätzlich ist auch das um eine Woche verschobene Wachstum der gemeldeten Fallzahlen der Altersgruppen ab 60 Jahren dargestellt. Da gemeldete Fälle in der Regel erst nach einigen Tagen intensivmedizinisch behandelt werden müssen – sofern sie diese Behandlung benötigen, sind durch diese Verschiebung die Wachstumsraten besser zu vergleichen.
Der Rückgang der Zahl der mit COVID-19-Fällen belegten Betten ist weiterhin hoch.

Downloads:Als PNG.
Die Grafik zeigt die Inzidenzen in den Altersgruppen nach Kalenderwoche.
In allen Altersgruppen sinken die Inzidenzen.

Downloads:Als PNG.

Downloads:Als PNG.
Da die Zahl der neu bestätigten Infektionsfälle (blaue Balken) im Wochenrhythmus schwankt, wird an dieser Stelle auch ein Mittelwert der jeweils vergangenen sieben Tage angegeben (blaue Linie). Da die vergangenen sieben Tage betrachtet werden, läuft dieser Wert den Meldezahlen immer etwas nach.

Downloads:Als PNG.
Für die Bewertung der aktuellen Situation ist die Einschätzung wichtig, ob sich das Infektionsgeschehen gleichmäßig über Deutschland verteilt oder ob es einzelne Hotspots und lokale Ausbrüche gibt. Auch wenn die Meldedaten nur ein unzureichendes Bild über das Infektionsgeschehen bieten, können sie daraufhin analysiert werden.
Ein bekanntes Maß für Ungleichheit ist der sogenannte Gini-Koeffizient, eine Zahl zwischen Null und Eins. Nehmen wir etwa die Vermögensverteilung in einem Land. Der Gini-Koeffizient nimmt den Wert Eins an, wenn einer allein alles hat und Null, wenn alle gleich viel besitzen.
Angewendet auf die tägliche Zahl der Neuinfektionen in den Kreisen würde allerdings schon allein durch die unterschiedliche Größe der Kreise eine Ungleichheit entstehen und Unterschiede vorgetäuscht. Aus diesem Grund wird die Ungleichheit im Infektionsgeschehen hier auf Basis der Inzidenz berechnet.
Ende Februar war die Ungleichheit bei den gemeldeten Fällen noch sehr groß, fiel dann aber mit steigender Fallzahl ab, da sich das Virus über Deutschland verteilte. Auch in den Hochzeiten waren die gemeldeten Inzidenzen nicht gleichmäßig verteilt.

Downloads:Als PNG.
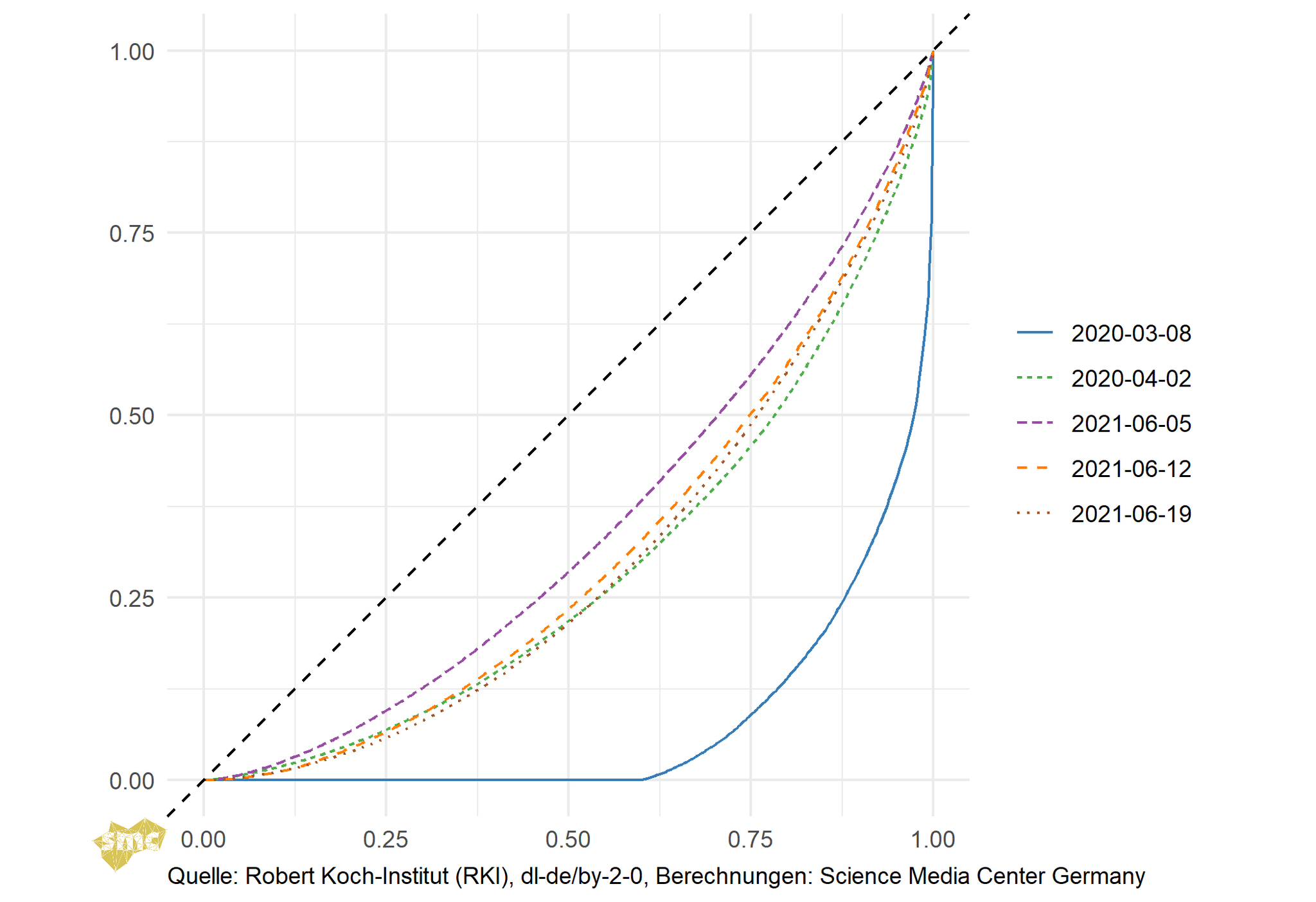
Neben der zeitlichen Betrachtung ist als Querschnitt auch eine Betrachtung der Verteilung in den Landkreisen zu einem bestimmten Zeitpunkt möglich. Die sogenannte Lorenzkurve zeigt, wie viel Prozent der Landkreise (X-Achse) wie viel Prozent der pro Landkreis aufsummierten Inzidenzen ausmachen. Dabei ist wichtig, dass es sich um diese relative Maßzahl handelt und nicht um die absolute, direkte Zahl der Infektionsfälle! München geht in diese Berechnung mit dem gleichen Gewicht ein wie Zweibrücken.
Je näher eine Lorenzkurve an der Diagonalen liegt, desto gleichmäßiger ist die Maßzahl verteilt, eine Kurve, die weit davon entfernt ist, zeugt von einer ungleichen Verteilung.
Betrachtet werden verschiedene Zeitpunkte:

Downloads:Als PNG.
Die Tatsache, dass die Kreise in Deutschland sehr unterschiedliche Einwohnerzahlen haben, macht die Vergleichbarkeit schwer. Relative Maßzahlen können bei kleinen Kreisen dazu führen, dass Zufallsschwankungen großen Einfluss haben, große Kreise haben bei gleicher relativer Anzahl viel mehr Fälle, sodass sie bei absoluten Maßzahlen eher auffallen.
Die folgenden beiden Tabellen enthalten vier verschiedene Maßzahlen. Für den 21.06.2021 werden jeweils die für sieben Tage geglätteten Fallzahlen pro Tag und die Inzidenz angegeben. Darüber hinaus wird jeweils die Differenz der Maßzahl zu dem Wert vom 14.06.2021 angegeben, um eine Veränderung zur Vorwoche zu betrachten.
Die erste Tabelle zeigt die zehn Kreise mit den höchsten Differenzen der Fallzahlen zur Vorwoche, in der zweiten Tabelle werden die Kreise mit den höchsten Differenzen der Inzidenz zur Vorwoche angegeben. Während auf Grund der absoluten Maßzahl in der ersten Tabelle eher große Kreise enthalten sind, werden in der zweiten Tabelle tendenziell kleinere Kreise aufgezählt. Beide Tabellen geben keine Aussage darüber, ob hier steigende Fallzahlen im gesamten Kreis oder nur in einigen Einrichtungen vorliegen.
| Landkreis | Differenz Fälle pro Tag | Fallzahlen pro Tag | Differenz Inzidenz | Inzidenz |
|---|---|---|---|---|
| LK München | 4.6 | 10.4 | 9.1 | 20.8 |
| LK Göppingen | 1.7 | 10.3 | 4.7 | 27.9 |
| SK Berlin Friedrichshain-Kreuzberg | 1.6 | 5.9 | 3.8 | 14.1 |
| LK Miesbach | 1.4 | 3.7 | 10.0 | 26.0 |
| LK Neustadt a.d.Waldnaab | 1.3 | 2.7 | 9.5 | 20.1 |
| LK Donnersbergkreis | 1.3 | 1.7 | 11.9 | 15.9 |
| LK Holzminden | 1.3 | 2.0 | 12.8 | 19.9 |
| LK Wartburgkreis | 1.1 | 2.4 | 6.7 | 14.3 |
| LK Ammerland | 1.0 | 1.1 | 5.6 | 6.4 |
| SK Braunschweig | 1.0 | 2.1 | 2.8 | 6.0 |
| Landkreis | Differenz Fälle pro Tag | Fallzahlen pro Tag | Differenz Inzidenz | Inzidenz |
|---|---|---|---|---|
| LK Holzminden | 1.3 | 2.0 | 12.8 | 19.9 |
| LK Donnersbergkreis | 1.3 | 1.7 | 11.9 | 15.9 |
| SK Baden-Baden | 0.9 | 1.7 | 10.8 | 21.7 |
| LK Miesbach | 1.4 | 3.7 | 10.0 | 26.0 |
| LK Neustadt a.d.Waldnaab | 1.3 | 2.7 | 9.5 | 20.1 |
| LK München | 4.6 | 10.4 | 9.1 | 20.8 |
| SK Pirmasens | 0.4 | 0.4 | 7.5 | 7.5 |
| LK Wartburgkreis | 1.1 | 2.4 | 6.7 | 14.3 |
| SK Neumünster | 0.7 | 0.7 | 6.2 | 6.2 |
| LK Ammerland | 1.0 | 1.1 | 5.6 | 6.4 |
Diesem Report liegen die Daten des Robert Koch-Instituts (RKI) zu Grunde, die im esri COVID-19 GeoHub zur Verfügung gestellt werden. Da ein Teil der Daten erst Tage nach dem offiziellen Meldedatum vom RKI erfasst werden, können sich diese auch nachträglich ändern. Insbesondere die jüngsten Daten unterliegen in der Regel noch starken Veränderungen und werden in diesem Report deswegen grau hinterlegt. Der Datensatz ist nach den Landkreisen und kreisfreien Städten, Berlin zusätzlich in die Bezirke aufgeteilt. Die Zahl der nicht diagnostizierten Fälle ist unbekannt und daher nicht enthalten.
Weitere Datenquellen sind die SurvStat-Datenbank des RKI und das DIVI-Intensivregister. Bevölkerungsdaten stammen aus der Genesis-Datenbank des statistischen Bundesamts beziehungsweise des Landesamts Berlin-Brandenburg.
Der in diesem Bericht verwendete Begriff Inzidenz ist allgemein als die Häufigkeit der in einer Zeitspanne neu auftretenden Fälle einer Erkrankung innerhalb einer Population definiert. Hier sind damit immer die in den vergangenen sieben Tagen gemeldeten Fälle pro 100 000 Personen gemeint.
Seit Beginn des Jahres 2020 und verstärkt in Zeiten der Corona-Pandemie verfolgt und bewertet die Redaktion und das SMC Lab täglich alle zugänglichen Daten und Meldezahlen zu COVID-19. Doch Zahlen, Fakten und Grafiken reichen für sich allein nicht aus, das komplexe Geschehen angemessen zu beschreiben und zu verstehen, was relevant ist.
Für informierte Diskussionen hatte das SMC Lab, seine Programmierer, Software-Experten und unser Statistiker bereits zu Jahresbeginn Tools zur Verfügung gestellt, damit die Redaktion interaktiv Daten zu COVID-19 verfolgen, diese visuell leicht erfassbar darzustellen und um wichtige Maßzahlen in Zeitreihen beobachten zu können - für Deutschland, die Bundesländer, die Kreise und kreisfreien Städte sowie International.
Diese Tools stellen wir nun schrittweise in interaktiven Apps zur Verfügung, damit Nutzerinnen und Nutzer dort Daten anschauen und downloaden können, die für Sie relevant sind.
Die Meldezahlen des Robert Koch-Instituts (RKI) zur Corona-Epidemie in Deutschland finden Sie unter diesem Link.
Die internationalen Meldezahlen der Weltgesundheitsorganisation WHO finden Sie unter diesem Link.
Wenn Sie Fragen zu diesen Daten haben oder Auswertungen für weitere Länder erhalten wollen, das SMC Lab kann Auswertungen erzeugen.
Lars Koppers, Gastwissenschaftler am SMC Lab
Heinz Greuling, Leiter Innovation Digitale Medien
Marleen Halbach, Redaktionsleiterin
Telefon: +49 221 8888 25-0
E-Mail: redaktion@sciencemediacenter.de