SMC Corona Report
Dieser wöchentliche Report des Science Media Center Germany (SMC) fasst das aktuelle Corona-Geschehen anhand relevanter Kennzahlen zusammen und bietet neue Blickwinkel auf die verfügbaren Daten.
Das SMC verschafft Ihnen damit einen raschen Überblick über den Verlauf der gegenwärtigen Pandemie in Deutschland. Wir liefern nicht nur die nackten Zahlen, sondern ordnen die Statistiken und ihre zeitliche Entwicklung auch ein. So können Sie mit einem Blick die sich dynamisch verändernde aktuelle Situation erfassen.
Der Rückgang der Inzidenzen und der Intensivbettenbelegung mit COVID-19-Fällen hat sich fortgesetzt. Die Inzidenzen gehen sowohl in allen Bundesländern, als auch in allen Altersklassen zurück. Durch den Feiertag in der vergangenen Woche und die kommenden Feiertage gibt es bei den Inzidenzen und deren Wachstum aktuell größere Schwankungen. So ist der aktuell stärkere Rückgang der Inzidenzen zumindest zu einem Teil dem Feiertag der vergangenen Woche geschuldet. In den kommenden Tagen kann der Rückgang zu niedrig ausfallen, da die aktuelle vollständige Woche dann mit einer Woche mit Feiertag verglichen wird. Mit dem Eintreffen der Daten für Pfingstmontag wird sich dieser Effekt dann temporär ausgleichen, bis am darauf folgenden Freitag Christi Himmelfahrt aus dem Vergleichszeitraum herausfällt und damit das Wachstum wieder etwas zu niedrig ausfallen dürfte. Der kommende Feiertag in einigen bevölkerungsreichen Bundesländern an Fronleichnam setzt dieses Muster fort. Unabhängig davon ist aber der aktuelle deutliche Rückgang der Inzidenzen nicht hauptsächlich durch diese Feiertage erklärbar, nur bei der Interpretation der täglichen Schwankungen muss dieser Effekt zusätzlich beachtet werden.
Vergleicht man die bereits gelieferten und die im Mai angekündigten Lieferungen der Vektorimpfstoffe mit den angekündigten Liefermengen für das zweite Quartal, so müssten bei AstraZeneca im Juni etwa 8 Millionen Dosen geliefert werden, und bei Johnson & Johnson etwa 9 Millionen Dosen. Dies wäre eine extreme Steigerung zu den im Mai gelieferten Dosen. Es erscheint daher unwahrscheinlich, dass diese beiden Impfstoffe in angekündigtem Umfang zur Verfügung stehen werden. Die Hersteller der mRNA-Impfstoffe liegen derweil innerhalb ihrer Ankündigungen.
Die Inzidenz der in Deutschland dominanten Variante B.1.1.7 geht stark zurück. Im Gegensatz dazu steigt die Inzidenz der Variante B.1.617.2 stark an. Im aktuellen Bericht des RKI zu Virusvarianten in Deutschland ist der Anteil dieser Variante an allen sequenzierten Proben stark gestiegen. Setzt man die angegebenen Anteile mit den jeweiligen Inzidenzen der Kalenderwoche in Relation, sieht man eine wöchentliche Verdopplung der Inzidenz, was einem R-Wert von 1,5 entsprechen würde. Entspricht dieser Wert der Realität, würden schon im Laufe des Juni neue Höchststände bei der Inzidenz erreicht werden. In der letzten verfügbaren Kalenderwoche schwächt sich das Wachstum aber ab, sodass die Zahlen eher zu einem R von 1,3 passen. Allerdings kann es in der kommenden Woche auch Nachmeldungen geben. Insgesamt ist die Inzidenz dieser Variante noch sehr niedrig.
Die aktuellen Erkenntnisse reichen aber noch nicht aus, um die hier beschriebene Entwicklung als die wahrscheinlichste zu beschreiben. Wie bereits im zweiten Extra Report beschrieben, ist das genaue Wachstum zu Beginn eines exponentiellen Wachstums nur schwer zu schätzen. Schon ein R-Wert von 1,3 würde ein Szenario mit deutlich geringeren Inzidenzen bedeuten als ein scheinbar nur wenig größerer R-Wert von 1,5.
Darüber hinaus hängt die reale Entwicklung auch von der Interaktion der Virusvariante mit den aktuell laufenden Impfungen ab. Wirkt die Impfung gegen die Variante, wird die fortschreitende Impfkampagne das Variantenwachstum bremsen. Gibt es ein (teilweises) Entkommen vor der Immunantwort, bremsen die Impfungen die Ausbreitung der Variante nicht oder nicht so stark. Verursacht die Variante einen schwereren Verlauf der Krankheit zum Beispiel auch bei ungeimpften jüngeren Menschen, würde dies wieder eine stärkere Belastung des Gesundheitssystems bedeuten.
Die weitere Entwicklung hängt also stark von den noch unsicheren Eigenschaften der Virusvariante ab. Erste Laboruntersuchungen mit der Variante B.1.617 in Zellkultur zeigen, dass Antikörper-Medikamente wie Regeneron sowie Seren von Genesenen und bereits Geimpften weiterhin in der Lage sind, die Virusvariante zu neutralisieren 1 2 3. Allerdings wirkte die Neutralisation der Seren nicht mehr so effektiv wie gegen vorige Varianten. Des weiteren gibt es erste Hinweise dazu, dass die Variante auch bereits geimpfte Personen, die den Impfstoff von AstraZeneca erhalten haben, infizieren kann und diese das Virus weitergeben können 3. Diese Ergebnisse stammen aus Preprint-Publikationen, die noch keinem unabhängigen Peer-Review-Verfahren unterzogen wurden. In der Publikationsliste des SMC sind die wissenschaftlichen Ergebnisse zu den Eigenschaften der Variante B.1.617.2 zusammengetragen. Zu der Publikation 2 finden Sie Experteneinschätzung hier: [Neue Daten zur SARS-CoV-2-Variante B.1.617 in Indien] (https://www.sciencemediacenter.de/alle-angebote/research-in-context/details/news/neue-daten-zur-sars-cov-2-variante-b1617-in-indien/)
Der Vergleich zu den Zahlen im Vereinigten Königreich zeigt sowohl Gemeinsamkeiten als auch Unterschiede. Während bis zur 17. Kalenderwoche die Anteile der B.1.617.2 Variante in Deutschland in der Entwicklung zwei Wochen hinter denen im Vereinigten Königreich hinterherliefen, waren aufgrund der höheren Gesamt-Inzidenz in Deutschland die Inzidenzen der Variante – also Fälle pro 100.000 Einwohnerinnen und Einwohner – ungefähr gleich hoch. Die neuesten Daten aus Kalenderwoche 18 zeigen für Deutschland eine deutlich langsamere Entwicklung. Während im Vereinigten Königreich, wo ein deutlich höherer Anteil der Menschen bereits geimpft wurde, die Inzidenz der Variante bei etwa 4 liegt, ist sie in Deutschland nur ungefähr bei 2.
Die Entwicklung der Variante B.1.617.2 muss in den kommenden Wochen genau beobachtet werden. Bei einem starken Wachstum müssen eventuell Maßnahmen angepasst werden, eine stärkere Übertragbarkeit bei Geimpften würde ein Überdenken der Regelungen für Geimpfte und Genesene nach sich ziehen. Da nach bisherigem Wissensstand die Impfungen weiterhin mindestens gut vor schweren Verläufen mit B.1.617.2 und anderen VoCs schützen, sollte die Impfkampagne ambitionierte fortgeführt werden.
Da immer mehr Impfstoff verfügbar ist, kann sich auch das Impftempo beschleunigen. Die Grafik zeigt den über sieben Tage geglätteten Verlauf der täglichen Impfungen insgesamt und nach Erst- beziehungsweise Zweitimpfung getrennt. In den kommenden Wochen wird die Zahl der benötigten Zweitimpfungen stark steigen. In der zweiten Mai-Hälfte sinkt die Zahl der durchgeführten Erstimpfungen deswegen.

Downloads:Als PNG.

Downloads:Als PNG.
Eine Prognose der Impfquote anhand der angekündigten Liefermenge ist nicht ganz einfach aufzustellen: Je nach Impfstoff variiert die Zahl der Wochen bis zur Zweitimpfung. In der Vergangenheit wurden andere Intervalle empfohlen und in der Praxis wird schon einmal etwas davon abgewichen. Zusätzlich sind für AstraZeneca und Johnson & Johnson noch keine vollständigen Liefermengen bis Ende Juni bekannt.
Für diese Prognose wurden verschiedene vereinfachende Annahmen getroffen:
Die beiden schwarzen Linien in der Grafik markieren die erreichbaren Impfquoten, wenn alle Personen ab 12 Jahren eine Impfbereitschaft von 80 Prozent beziehungsweise 70 Prozent zeigen. In Erwartung der Zulassung des BioNTech-Impfstoffs ab 12 Jahren wurde dies als die relevante Altersgrenze für das zweite Quartal gewählt.
Die Prognose unterscheidet sich nicht relevant von der der Vorwoche.

Downloads:Als PNG.
Die Grafik zeigt die Inzidenzen einmal für alle Altersgruppen und einmal ab 60 Jahren. Die Inzidenz sinkt aktuell deutlich.

Downloads:Als PNG.
Die Grafik zeigt für jeden Tag das prozentuale Wachstum der geglätteten Fallzahlen im Vergleich zur Vorwoche. Dabei werden einmal alle gemeldeten Fälle berücksichtigt und einmal nur Fälle mit einem Alter von mindestens 60 Jahren. Das Wachstum ist negativ und sinkt aktuell weiter. Ein Teil der Entwicklung wird allerdings auf den Feiertag in der vergangenen Woche zurückgehen.

Downloads:Als PNG.
Im Folgenden wird das Wachstum der Inzidenz vom 15.05.2021 im Vergleich zur Vorwoche betrachtet. Der Rückgang der Inzidenzen in den Bundesländern ist unteschiedlich schnell, vergleicht man aber die Grafiken der letzten beiden Berichte, sieht man, dass die Reihenfolge der Bundesländer von Woche zu Woche verschieden ist.

Downloads:Als PNG.

Downloads:Als PNG.
Die Zahl der COVID-19-Fälle auf den Intensivstationen sinkt weiterhin. Durch die allgemein sinkenden Inzidenzen ist ein weiteres Sinken zu erwarten.

Downloads:Als PNG.
Einen besseren Eindruck von der aktuell beschleunigten Dynamik bekommt man – wie immer bei exponentiellem Wachstum –, wenn man auf das prozentuale Wachstum schaut. In der folgenden Grafik ist das prozentuale Wachstum der mit COVID-19-Fällen belegten Intensivbetten im Vergleich zur Vorwoche abgetragen. Zusätzlich ist auch das um eine Woche verschobene Wachstum der gemeldeten Fallzahlen der Altersgruppen ab 60 Jahren dargestellt. Da gemeldete Fälle in der Regel erst nach einigen Tagen intensivmedizinisch behandelt werden müssen – sofern sie diese Behandlung benötigen, sind durch diese Verschiebung die Wachstumsraten besser zu vergleichen.
Der Rückgang der Zahl der mit COVID-19-Fällen belegten Betten beschleunigt sich weiter. Hält die Beschleunigung an, kann schon in der kommenden Woche ein Stand erreicht werden, der dem von Anfang November entspricht.

Downloads:Als PNG.
Die Grafik zeigt die Inzidenzen in den Altersgruppen nach Kalenderwoche.
In allen Altersgruppen sinken die Inzidenzen. Der prozentuale Rückgang ist dabei in allen Altersklassen ähnlich.

Downloads:Als PNG.

Downloads:Als PNG.
Da die Zahl der neu bestätigten Infektionsfälle (blaue Balken) im Wochenrhythmus schwankt, wird an dieser Stelle auch ein Mittelwert der jeweils vergangenen sieben Tage angegeben (blaue Linie). Da die vergangenen sieben Tage betrachtet werden, läuft dieser Wert den Meldezahlen immer etwas nach.

Downloads:Als PNG.
Für die Bewertung der aktuellen Situation ist die Einschätzung wichtig, ob sich das Infektionsgeschehen gleichmäßig über Deutschland verteilt oder ob es einzelne Hotspots und lokale Ausbrüche gibt. Auch wenn die Meldedaten nur ein unzureichendes Bild über das Infektionsgeschehen bieten, können sie daraufhin analysiert werden.
Ein bekanntes Maß für Ungleichheit ist der sogenannte Gini-Koeffizient, eine Zahl zwischen Null und Eins. Nehmen wir etwa die Vermögensverteilung in einem Land. Der Gini-Koeffizient nimmt den Wert Eins an, wenn einer allein alles hat und Null, wenn alle gleich viel besitzen.
Angewendet auf die tägliche Zahl der Neuinfektionen in den Kreisen würde allerdings schon allein durch die unterschiedliche Größe der Kreise eine Ungleichheit entstehen und Unterschiede vorgetäuscht. Aus diesem Grund wird die Ungleichheit im Infektionsgeschehen hier auf Basis der Inzidenz berechnet.
Ende Februar war die Ungleichheit bei den gemeldeten Fällen noch sehr groß, fiel dann aber mit steigender Fallzahl ab, da sich das Virus über Deutschland verteilte. Auch in den Hochzeiten waren die gemeldeten Inzidenzen nicht gleichmäßig verteilt.

Downloads:Als PNG.
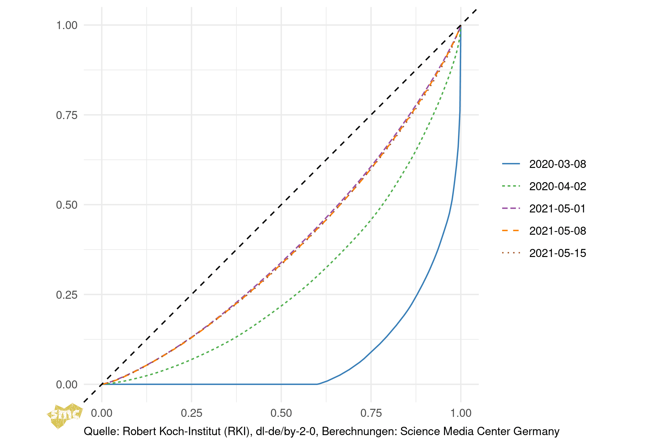
Neben der zeitlichen Betrachtung ist als Querschnitt auch eine Betrachtung der Verteilung in den Landkreisen zu einem bestimmten Zeitpunkt möglich. Die sogenannte Lorenzkurve zeigt, wie viel Prozent der Landkreise (X-Achse) wie viel Prozent der pro Landkreis aufsummierten Inzidenzen ausmachen. Dabei ist wichtig, dass es sich um diese relative Maßzahl handelt und nicht um die absolute, direkte Zahl der Infektionsfälle! München geht in diese Berechnung mit dem gleichen Gewicht ein wie Zweibrücken.
Je näher eine Lorenzkurve an der Diagonalen liegt, desto gleichmäßiger ist die Maßzahl verteilt, eine Kurve, die weit davon entfernt ist, zeugt von einer ungleichen Verteilung.
Betrachtet werden verschiedene Zeitpunkte:

Downloads:Als PNG.
Die Tatsache, dass die Kreise in Deutschland sehr unterschiedliche Einwohnerzahlen haben, macht die Vergleichbarkeit schwer. Relative Maßzahlen können bei kleinen Kreisen dazu führen, dass Zufallsschwankungen großen Einfluss haben, große Kreise haben bei gleicher relativer Anzahl viel mehr Fälle, sodass sie bei absoluten Maßzahlen eher auffallen.
Die folgenden beiden Tabellen enthalten vier verschiedene Maßzahlen. Für den 17.05.2021 werden jeweils die für sieben Tage geglätteten Fallzahlen pro Tag und die Inzidenz angegeben. Darüber hinaus wird jeweils die Differenz der Maßzahl zu dem Wert vom 10.05.2021 angegeben, um eine Veränderung zur Vorwoche zu betrachten.
Die erste Tabelle zeigt die zehn Kreise mit den höchsten Differenzen der Fallzahlen zur Vorwoche, in der zweiten Tabelle werden die Kreise mit den höchsten Differenzen der Inzidenz zur Vorwoche angegeben. Während auf Grund der absoluten Maßzahl in der ersten Tabelle eher große Kreise enthalten sind, werden in der zweiten Tabelle tendenziell kleinere Kreise aufgezählt. Beide Tabellen geben keine Aussage darüber, ob hier steigende Fallzahlen im gesamten Kreis oder nur in einigen Einrichtungen vorliegen.
| Landkreis | Differenz Fälle pro Tag | Fallzahlen pro Tag | Differenz Inzidenz | Inzidenz |
|---|---|---|---|---|
| LK Berchtesgadener Land | 7.6 | 16.3 | 50.0 | 107.6 |
| Städteregion Aachen | 6.1 | 97.9 | 7.7 | 123.0 |
| LK Oberhavel | 5.4 | 21.6 | 17.8 | 70.9 |
| LK Vulkaneifel | 4.7 | 7.9 | 54.4 | 90.7 |
| LK Lörrach | 3.6 | 30.6 | 11.0 | 93.6 |
| SK Passau | 2.6 | 4.7 | 34.1 | 62.5 |
| LK Wittmund | 2.6 | 4.9 | 31.6 | 59.7 |
| LK Deggendorf | 2.1 | 26.1 | 12.6 | 153.2 |
| SK Frankenthal | 1.4 | 5.4 | 20.5 | 77.9 |
| LK Mainz-Bingen | 1.0 | 24.1 | 3.3 | 79.9 |
| Landkreis | Differenz Fälle pro Tag | Fallzahlen pro Tag | Differenz Inzidenz | Inzidenz |
|---|---|---|---|---|
| LK Vulkaneifel | 4.7 | 7.9 | 54.4 | 90.7 |
| LK Berchtesgadener Land | 7.6 | 16.3 | 50.0 | 107.6 |
| SK Passau | 2.6 | 4.7 | 34.1 | 62.5 |
| LK Wittmund | 2.6 | 4.9 | 31.6 | 59.7 |
| SK Frankenthal | 1.4 | 5.4 | 20.5 | 77.9 |
| SK Zweibrücken | 1.0 | 4.6 | 20.5 | 93.6 |
| LK Oberhavel | 5.4 | 21.6 | 17.8 | 70.9 |
| LK Deggendorf | 2.1 | 26.1 | 12.6 | 153.2 |
| LK Lörrach | 3.6 | 30.6 | 11.0 | 93.6 |
| Städteregion Aachen | 6.1 | 97.9 | 7.7 | 123.0 |
Diesem Report liegen die Daten des Robert Koch-Instituts (RKI) zu Grunde, die im esri COVID-19 GeoHub zur Verfügung gestellt werden. Da ein Teil der Daten erst Tage nach dem offiziellen Meldedatum vom RKI erfasst werden, können sich diese auch nachträglich ändern. Insbesondere die jüngsten Daten unterliegen in der Regel noch starken Veränderungen und werden in diesem Report deswegen grau hinterlegt. Der Datensatz ist nach den Landkreisen und kreisfreien Städten, Berlin zusätzlich in die Bezirke aufgeteilt. Die Zahl der nicht diagnostizierten Fälle ist unbekannt und daher nicht enthalten.
Weitere Datenquellen sind die SurvStat-Datenbank des RKI und das DIVI-Intensivregister. Bevölkerungsdaten stammen aus der Genesis-Datenbank des statistischen Bundesamts beziehungsweise des Landesamts Berlin-Brandenburg.
Der in diesem Bericht verwendete Begriff Inzidenz ist allgemein als die Häufigkeit der in einer Zeitspanne neu auftretenden Fälle einer Erkrankung innerhalb einer Population definiert. Hier sind damit immer die in den vergangenen sieben Tagen gemeldeten Fälle pro 100 000 Personen gemeint.
Seit Beginn des Jahres 2020 und verstärkt in Zeiten der Corona-Pandemie verfolgt und bewertet die Redaktion und das SMC Lab täglich alle zugänglichen Daten und Meldezahlen zu COVID-19. Doch Zahlen, Fakten und Grafiken reichen für sich allein nicht aus, das komplexe Geschehen angemessen zu beschreiben und zu verstehen, was relevant ist.
Für informierte Diskussionen hatte das SMC Lab, seine Programmierer, Software-Experten und unser Statistiker bereits zu Jahresbeginn Tools zur Verfügung gestellt, damit die Redaktion interaktiv Daten zu COVID-19 verfolgen, diese visuell leicht erfassbar darzustellen und um wichtige Maßzahlen in Zeitreihen beobachten zu können - für Deutschland, die Bundesländer, die Kreise und kreisfreien Städte sowie International.
Diese Tools stellen wir nun schrittweise in interaktiven Apps zur Verfügung, damit Nutzerinnen und Nutzer dort Daten anschauen und downloaden können, die für Sie relevant sind.
Die Meldezahlen des Robert Koch-Instituts (RKI) zur Corona-Epidemie in Deutschland finden Sie unter diesem Link.
Die internationalen Meldezahlen der Weltgesundheitsorganisation WHO finden Sie unter diesem Link.
Wenn Sie Fragen zu diesen Daten haben oder Auswertungen für weitere Länder erhalten wollen, das SMC Lab kann Auswertungen erzeugen.
Lars Koppers, Gastwissenschaftler am SMC Lab
Heinz Greuling, Leiter Innovation Digitale Medien
Marleen Halbach, Redaktionsleiterin
Telefon: +49 221 8888 25-0
E-Mail: redaktion@sciencemediacenter.de