SMC Corona Report
Dieser wöchentliche Report des Science Media Center Germany (SMC) fasst das aktuelle Corona-Geschehen anhand relevanter Kennzahlen zusammen und bietet neue Blickwinkel auf die verfügbaren Daten.
Das SMC verschafft Ihnen damit einen raschen Überblick über den Verlauf der gegenwärtigen Pandemie in Deutschland. Wir liefern nicht nur die nackten Zahlen, sondern ordnen die Statistiken und ihre zeitliche Entwicklung auch ein. So können Sie mit einem Blick die sich dynamisch verändernde aktuelle Situation erfassen.
Wie zu erwarten war, ist die Inzidenz über Ostern nicht wirklich gefallen, wie die aktuellen Werte zeigen. Das wöchentliche Wachstum von gegenwärtig 40 Prozent ist aber noch den fehlenden Meldungen um Ostern geschuldet. Ein realistischer Wert liegt deutlich niedriger. In der kommenden Woche wird auch dieser Wert wieder besser interpretierbar sein. Aktuell wird das wirkliche Wachstum eher langsamer sein als vor Ostern. Ob sich das Infektionsgeschehen nach Ostern wieder beschleunigt, werden die kommenden Tage zeigen.
Die aktuelle Diskussion um den Johnson & Johnson-Impfstoff wirft die Impfgeschwindigkeit nicht weiter zurück. Für den gesamten April waren bisher nur 232 800 gelieferte Dosen angekündigt, also weniger als die Hälfte der täglich verimpften Dosen.
Auf den Intensivstationen verlangsamt sich aktuell ebenfalls das Wachstum. Hier ist noch nicht sichtbar, ob dies nur ein temporärer Rückgang durch weniger Infektionen an den Osterfeiertagen ist, oder ob dieser Effekt langfristiger anhält.
Dass sich die Inzidenzen auch durch die Impfungen anders entwickeln als die Fälle auf den Intensivstationen, wird zur Zeit stark diskutiert. Betrachtet man die Altersverteilung verschiedener Kalenderwochen, kann man diesen Unterschied gut nachvollziehen. Anfang September 2020 (KW 37) traten besonders viele gemeldete Fälle in den Altersklasse zwischen 15 und 30 Jahren auf. Der Anteil der hohen Altersklassen war niedriger. Kurz vor Weihnachten (KW 51) waren die über 80-Jährigen besonders stark betroffen. Mit der Verbreitung der B.1.1.7-Variante ist der Anteil in den Altersgruppen in der 10. Kalenderwoche deutlich gleichmäßiger als im Herbst 2020. Der Anteil der über 80-Jährigen ging seitdem sogar noch zurück. Da die Altersklassen unterschiedlich stark besetzt sind, ist der absolute Vergleich verschiedener Altersklassen in dieser Darstellung nicht sinnvoll.

Downloads:Als PNG.
Da immer mehr Impfstoff verfügbar ist, kann sich auch das Impftempo beschleunigen. Die Grafik zeigt den über sieben Tage geglätteten Verlauf der täglichen Impfungen insgesamt und nach Erst- beziehungsweise Zweitimpfung getrennt. Deutlich zu sehen ist das zeitlich verzögerte Wachstum der Erst- und Zweitimpfungen. Aufgrund der limitierten Menge an Impfstoff musste im Januar sogar die Zahl der Erstimpfungen reduziert werden, um genug Dosen für die Zweitimpfungen bereit halten zu können. Wie erwartet steigt die Zahl der durchgeführten Impfungen nicht mehr so stark wie in der vergangenen Woche. Eine Steigerung der täglich verabreichten Impfdosen ist aber weiterhin ersichtlich.

Downloads:Als PNG.
Da sowohl die Zahl der täglich verimpften Dosen als auch die Größe der Impfstofflieferungen wächst, darf bei der Frage, ob zu viel Impfstoff gelagert wird, nicht nur auf die absoluten Zahlen geachtet werden. In der folgenden Grafik wird der noch nicht verimpfte Impfstoff mit den der aktuellen über sieben Tage geglätteten Impfgeschwindigkeit verglichen. Die Grafik gibt also an, wie viele Tage der gelagerte Impfstoff ohne Nachschub ausreichen würde.
Die Lieferungen für die aktuelle Kalenderwoche sind noch nicht in den Daten enthalten. Dadurch können am aktuelle Rand schon Impfungen berücksichtigt werden, die noch nicht als geliefert verbucht sind.
Der Impfstoff von BioNTech/Pfizer wird inzwischen wöchentlich geliefert und größtenteils bis zur nächsten Lieferung verimpft.
Bei Moderna sind die Lieferungen seltener und die Impfstoffmenge ist vergleichsweise klein.
Bei AstraZeneca werden aktuell täglich mehr als 100 000 Dosen verimpft. Da die Lieferungen bis Monatsende eher kleiner ausfallen, wird so der Vorrat weiter abgebaut.

Downloads:Als PNG.

Downloads:Als PNG.
Die Grafik zeigt die Inzidenzen einmal für alle Altersgruppen und einmal ab 60 Jahren. Die Inzidenz steigt wieder. Für die Höhe der Inzidenz spielen die Feiertage keine große Rolle mehr.

Downloads:Als PNG.
Die Grafik zeigt für jeden Tag das prozentuale Wachstum der geglätteten Fallzahlen im Vergleich zur Vorwoche. Dabei werden einmal alle gemeldeten Fälle berücksichtigt und einmal nur Fälle mit einem Alter von mindestens 60 Jahren. Im Gegensatz zur Höhe der Inzidenz wird das Wachstum noch stark von den geringen Meldezahlen um Ostern beeinflusst. Erst in der kommenden Woche lässt sich das aktuelle Wachstum besser einschätzen. Der Vergleich einzelner Meldedaten mit einem Wert von vor Ostern suggeriert aktuell ein wöchentliches Wachstum um zehn Prozent.

Downloads:Als PNG.
Nach Ostern steigen die Inzidenzen in allen Bundesländern.

Downloads:Als PNG.
Die Zahl der COVID-19-Fälle auf den Intensivstationen stagniert seit zwei Tagen, dies kann allerdings mit dem Infektionsgeschehen direkt um Ostern zusammenhängen. Erst die nächste Woche wird hier eine bessere Einschätzung der aktuellen Lage liefern.

Downloads:Als PNG.
Einen besseren Eindruck von der aktuell beschleunigten Dynamik bekommt man – wie immer bei exponentiellem Wachstum –, wenn man auf das prozentuale Wachstum schaut. In der folgenden Grafik ist das prozentuale Wachstum der mit COVID-19-Fällen belegten Intensivbetten im Vergleich zur Vorwoche abgetragen. Zusätzlich ist auch das um eine Woche verschobene Wachstum der gemeldeten Fallzahlen der Altersgruppen ab 60 Jahren dargestellt. Da gemeldete Fälle in der Regel erst nach einigen Tagen intensivmedizinisch behandelt werden müssen – sofern sie diese Behandlung benötigen, sind durch diese Verschiebung die Wachstumsraten besser zu vergleichen.
Das wöchentliche Wachstum bei den mit COVID-19-Fällen belegten Betten ist auf unter fünf Prozent gefallen. Aktuell lässt sich nicht mit Sicherheit sagen, ob dies nur einem geringeren Inektionsgeschehen rund um die Osterfeiertag geschulet ist, oder sich das Wachstum duerhaft verlangsamt.

Downloads:Als PNG.
Die Grafik zeigt die Inzidenzen in den Altersgruppen nach Kalenderwoche.
Nach den Feiertagen steigen die Inzidenzen in fast allen Altersgruppen, einzig bei den unter 10-jährigen ist weiterhin ein Rückgang der Inzidenzen zu vermerken.

Downloads:Als PNG.

Downloads:Als PNG.
Da die Zahl der neu bestätigten Infektionsfälle (blaue Balken) im Wochenrhythmus schwankt, wird an dieser Stelle auch ein Mittelwert der jeweils vergangenen sieben Tage angegeben (blaue Linie). Da die vergangenen sieben Tage betrachtet werden, läuft dieser Wert den Meldezahlen immer etwas nach.

Downloads:Als PNG.
Für die Bewertung der aktuellen Situation ist die Einschätzung wichtig, ob sich das Infektionsgeschehen gleichmäßig über Deutschland verteilt oder ob es einzelne Hotspots und lokale Ausbrüche gibt. Auch wenn die Meldedaten nur ein unzureichendes Bild über das Infektionsgeschehen bieten, können sie daraufhin analysiert werden.
Ein bekanntes Maß für Ungleichheit ist der sogenannte Gini-Koeffizient, eine Zahl zwischen Null und Eins. Nehmen wir etwa die Vermögensverteilung in einem Land. Der Gini-Koeffizient nimmt den Wert Eins an, wenn einer allein alles hat und Null, wenn alle gleich viel besitzen.
Angewendet auf die tägliche Zahl der Neuinfektionen in den Kreisen würde allerdings schon allein durch die unterschiedliche Größe der Kreise eine Ungleichheit entstehen und Unterschiede vorgetäuscht. Aus diesem Grund wird die Ungleichheit im Infektionsgeschehen hier auf Basis der Inzidenz berechnet.
Ende Februar war die Ungleichheit bei den gemeldeten Fällen noch sehr groß, fiel dann aber mit steigender Fallzahl ab, da sich das Virus über Deutschland verteilte. Auch in den Hochzeiten waren die gemeldeten Inzidenzen nicht gleichmäßig verteilt.

Downloads:Als PNG.
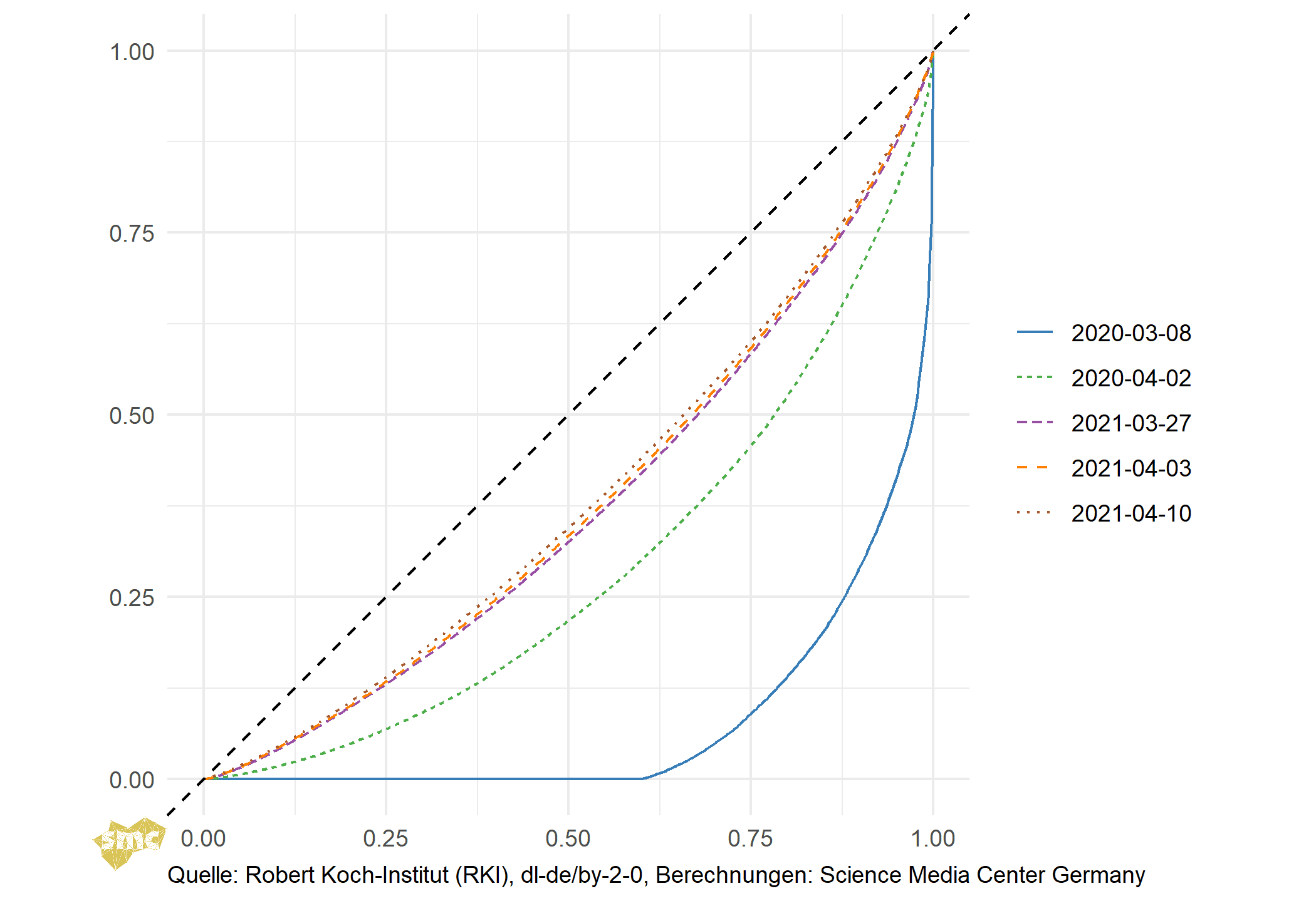
Neben der zeitlichen Betrachtung ist als Querschnitt auch eine Betrachtung der Verteilung in den Landkreisen zu einem bestimmten Zeitpunkt möglich. Die sogenannte Lorenzkurve zeigt, wie viel Prozent der Landkreise (X-Achse) wie viel Prozent der pro Landkreis aufsummierten Inzidenzen ausmachen. Dabei ist wichtig, dass es sich um diese relative Maßzahl handelt und nicht um die absolute, direkte Zahl der Infektionsfälle! München geht in diese Berechnung mit dem gleichen Gewicht ein wie Zweibrücken.
Je näher eine Lorenzkurve an der Diagonalen liegt, desto gleichmäßiger ist die Maßzahl verteilt, eine Kurve, die weit davon entfernt ist, zeugt von einer ungleichen Verteilung.
Betrachtet werden verschiedene Zeitpunkte:

Downloads:Als PNG.
Die Tatsache, dass die Kreise in Deutschland sehr unterschiedliche Einwohnerzahlen haben, macht die Vergleichbarkeit schwer. Relative Maßzahlen können bei kleinen Kreisen dazu führen, dass Zufallsschwankungen großen Einfluss haben, große Kreise haben bei gleicher relativer Anzahl viel mehr Fälle, sodass sie bei absoluten Maßzahlen eher auffallen.
Die folgenden beiden Tabellen enthalten vier verschiedene Maßzahlen. Für den 12.04.2021 werden jeweils die für sieben Tage geglätteten Fallzahlen pro Tag und die Inzidenz angegeben. Darüber hinaus wird jeweils die Differenz der Maßzahl zu dem Wert vom 5.04.2021 angegeben, um eine Veränderung zur Vorwoche zu betrachten.
Die erste Tabelle zeigt die zehn Kreise mit den höchsten Differenzen der Fallzahlen zur Vorwoche, in der zweiten Tabelle werden die Kreise mit den höchsten Differenzen der Inzidenz zur Vorwoche angegeben. Während auf Grund der absoluten Maßzahl in der ersten Tabelle eher große Kreise enthalten sind, werden in der zweiten Tabelle tendenziell kleinere Kreise aufgezählt. Beide Tabellen geben keine Aussage darüber, ob hier steigende Fallzahlen im gesamten Kreis oder nur in einigen Einrichtungen vorliegen.
| Landkreis | Differenz Fälle pro Tag | Fallzahlen pro Tag | Differenz Inzidenz | Inzidenz |
|---|---|---|---|---|
| SK München | 111.3 | 306.0 | 52.5 | 144.3 |
| LK Ludwigsburg | 45.7 | 134.6 | 58.7 | 172.7 |
| LK Main-Taunus-Kreis | 42.9 | 61.1 | 125.7 | 179.4 |
| LK Mettmann | 41.0 | 120.7 | 59.1 | 174.0 |
| LK Görlitz | 38.6 | 89.3 | 106.8 | 247.3 |
| LK Rheinisch-Bergischer Kreis | 37.9 | 67.3 | 93.6 | 166.3 |
| LK Heilbronn | 36.9 | 103.7 | 74.9 | 210.8 |
| LK Esslingen | 36.1 | 126.4 | 47.3 | 165.4 |
| LK Göppingen | 35.7 | 78.6 | 96.9 | 213.1 |
| SK Dresden | 34.0 | 126.6 | 42.7 | 159.1 |
| Landkreis | Differenz Fälle pro Tag | Fallzahlen pro Tag | Differenz Inzidenz | Inzidenz |
|---|---|---|---|---|
| LK Dingolfing-Landau | 23.6 | 49.0 | 170.7 | 354.8 |
| LK Mühldorf a.Inn | 23.1 | 45.4 | 139.8 | 274.4 |
| LK Hof | 18.0 | 60.9 | 132.9 | 449.4 |
| LK Main-Taunus-Kreis | 42.9 | 61.1 | 125.7 | 179.4 |
| LK Heidenheim | 20.9 | 46.0 | 109.9 | 242.5 |
| SK Suhl | 5.7 | 13.1 | 108.8 | 250.1 |
| LK Görlitz | 38.6 | 89.3 | 106.8 | 247.3 |
| LK Altötting | 17.0 | 40.3 | 106.7 | 252.9 |
| LK Göppingen | 35.7 | 78.6 | 96.9 | 213.1 |
| SK Heilbronn | 17.1 | 54.1 | 94.8 | 299.4 |
Diesem Report liegen die Daten des Robert Koch-Instituts (RKI) zu Grunde, die im esri COVID-19 GeoHub zur Verfügung gestellt werden. Da ein Teil der Daten erst Tage nach dem offiziellen Meldedatum vom RKI erfasst werden, können sich diese auch nachträglich ändern. Insbesondere die jüngsten Daten unterliegen in der Regel noch starken Veränderungen und werden in diesem Report deswegen grau hinterlegt. Der Datensatz ist nach den Landkreisen und kreisfreien Städten, Berlin zusätzlich in die Bezirke aufgeteilt. Die Zahl der nicht diagnostizierten Fälle ist unbekannt und daher nicht enthalten.
Weitere Datenquellen sind die SurvStat-Datenbank des RKI und das DIVI-Intensivregister. Bevölkerungsdaten stammen aus der Genesis-Datenbank des statistischen Bundesamts beziehungsweise des Landesamts Berlin-Brandenburg.
Der in diesem Bericht verwendete Begriff Inzidenz ist allgemein als die Häufigkeit der in einer Zeitspanne neu auftretenden Fälle einer Erkrankung innerhalb einer Population definiert. Hier sind damit immer die in den vergangenen sieben Tagen gemeldeten Fälle pro 100 000 Personen gemeint.
Seit Beginn des Jahres 2020 und verstärkt in Zeiten der Corona-Pandemie verfolgt und bewertet die Redaktion und das SMC Lab täglich alle zugänglichen Daten und Meldezahlen zu COVID-19. Doch Zahlen, Fakten und Grafiken reichen für sich allein nicht aus, das komplexe Geschehen angemessen zu beschreiben und zu verstehen, was relevant ist.
Für informierte Diskussionen hatte das SMC Lab, seine Programmierer, Software-Experten und unser Statistiker bereits zu Jahresbeginn Tools zur Verfügung gestellt, damit die Redaktion interaktiv Daten zu COVID-19 verfolgen, diese visuell leicht erfassbar darzustellen und um wichtige Maßzahlen in Zeitreihen beobachten zu können - für Deutschland, die Bundesländer, die Kreise und kreisfreien Städte sowie International.
Diese Tools stellen wir nun schrittweise in interaktiven Apps zur Verfügung, damit Nutzerinnen und Nutzer dort Daten anschauen und downloaden können, die für Sie relevant sind.
Die Meldezahlen des Robert Koch-Instituts (RKI) zur Corona-Epidemie in Deutschland finden Sie unter diesem Link.
Die internationalen Meldezahlen der Weltgesundheitsorganisation WHO finden Sie unter diesem Link.
Wenn Sie Fragen zu diesen Daten haben oder Auswertungen für weitere Länder erhalten wollen, das SMC Lab kann Auswertungen erzeugen.
Lars Koppers, Gastwissenschaftler am SMC Lab
Heinz Greuling, Leiter Innovation Digitale Medien
Marleen Halbach, Redaktionsleiterin
Telefon: +49 221 8888 25-0
E-Mail: redaktion@sciencemediacenter.de