SMC Corona Report
Dieser wöchentliche Report des Science Media Center Germany (SMC) fasst das aktuelle Corona-Geschehen anhand relevanter Kennzahlen zusammen und bietet neue Blickwinkel auf die verfügbaren Daten.
Das SMC verschafft Ihnen damit einen raschen Überblick über den Verlauf der gegenwärtigen Pandemie in Deutschland. Wir liefern nicht nur die nackten Zahlen, sondern ordnen die Statistiken und ihre zeitliche Entwicklung auch ein. So können Sie mit einem Blick die sich dynamisch verändernde aktuelle Situation erfassen.
Das wöchentliche Wachstum der Fallzahlen hat sich auf ungefähr 25 Prozent abgeschwächt. Eine Fortschreibung für die nächsten Wochen erscheint aktuell aufgrund der kommenden Feiertage und den Osterferien nicht sinnvoll. Damit im April und Mai nicht sehr hohen Inzidenzen auftreten, muss das wöchentliche Wachstum noch stärker sinken.
Ob es aufgrund der gemeldeten Nebenwirkungen beim AstraZeneca-Impfstoff und der damit einhergehenden Änderung der Impfeempfehlung zu weiteren Verzögerungen im Impffortschritt kommen wird, lässt sich noch nicht abschätzen. Laut Bundesgesundheitsministerium werden bis Ende Juni 18 bis 21 Millionen Impfdosen von AstraZeneca geliefert. Von diesen sind bereits 2,7 Millionen verimpft worden. Die verbleibenen Impfdosen für ungefähr 9 Millionen Menschen nach der aktuellen Empfehlung in den Altersklassen ab 60 Jahren zu verimpfen ist rein rechnerisch kein Problem, da alleine die Altersjahrgänge von 60 bis einschließlich 79 Jahren aus über 18 Millionen Menschen besteht.
Den täglich veröffentlichten Impfzahlen ist zu entnehmen, dass ein nicht unerheblicher Teil der Impfungen nicht mehr direkt am nächsten Tag in die Statistik eingeht, sondern vielmehr in den nächsten Tagen nachgemeldet wird. Dies ist bei der Interpretation der aktuellen Impfdaten unbedingt zu berücksichtigen. Mit dem Einsteigen der niedergelassenen Ärzte in die Impfungen wird sich dieser Trend noch weiter verstärken.
Da immer mehr Impfstoff verfügbar ist, kann sich auch das Impftempo beschleunigen. Die Grafik zeigt den über sieben Tage geglätteten Verlauf der täglichen Impfungen insgesamt und nach Erst- beziehungsweise Zweitimpfung getrennt. Deutlich zu sehen ist das zeitlich verzögerte Wachstum der Erst- und Zweitimpfungen. Aufgrund der limitierten Anzahl an Impfstoff musste im Januar sogar die Zahl der Erstimpfungen reduziert werden, um genug Dosen für die Zweitimpfungen bereit halten zu können. Der durch den Impfstopp des AstraZeneca-Impfstoff verursachte Rückgang in der Zahl der durchgeführten Impfungen wurde inzwischen wieder ausgeglichen. Ob die Änderung der Impfempfehlung für diesen Impfstoff Auswirkungen auf die Impfgeschwindigkeit haben wird, wird die nächste Woche zeigen.

Downloads:Als PNG.
Da sowohl die Zahl der täglich verimpften Dosen, als auch die Größe der Impfstofflieferungen wächst, darf bei der Frage, ob zu viel Impfstoff gelagert wird, nicht nur auf die absoluten Zahlen geachtet werden. In der folgenden Grafik wird der noch nicht verimpfte Impfstoff mit den der aktuellen über sieben Tage geglätteten Impfgeschwindigkeit verglichen. Die Grafik gibt also an, wie viele Tage der gelagerte Impfstoff ohne Nachschub ausreichen würde.
Die Lieferungen für die aktuelle Kalenderwoche sind noch nicht in den Daten enthalten. Insbesondere steht für die Kalenderwoche 13 eine große Lieferung mit über 1,7 Millionen Dosen AstraZeneca-Impfstoff an.
Der Impfstoff von BioNTech/Pfizer wird inzwischen wöchentlich geliefert und größtenteils bis zur nächsten Lieferung verimpft. Da die Lieferungen bis Ende März konstant bleiben, wird sich hier nicht viel ändern.
Bei Moderna sind die Lieferungen seltener und die Impfstoffmenge ist vergleichsweise klein. Die Ausschläge nach einer Lieferung sind hier größer.
Bei AstraZeneca ist der Zustand von vor dem Impfstopp wieder erreicht. Ein erneutes Ansteigen durch die Umstellung der Impfstrategie ist aber nicht auszuschließen.

Downloads:Als PNG.
Bei BioNTech/Pfizer werden aktuell mehr Dosen verimpft als geliefert werden, die Reserven werden also abgebaut.

Downloads:Als PNG.
Die Grafik zeigt die Inzidenzen einmal für alle Altersgruppen und einmal ab 60 Jahren. Die Inzidenz steigt deutlich an.

Downloads:Als PNG.
Die Grafik zeigt für jeden Tag das prozentuale Wachstum der geglätteten Fallzahlen im Vergleich zur Vorwoche. Dabei werden einmal alle gemeldeten Fälle berücksichtigt und einmal nur Fälle mit einem Alter von mindestens 60 Jahren. Das aktuelle Wachstum hat sich leicht verlangsamt, liegt aber immer noch bei ungefähr 25 Prozent pro Woche.

Downloads:Als PNG.
Alle Bundesländer weisen steigende Inzidenzen auf.

Downloads:Als PNG.
Die Zahl der COVID-19-Fälle auf den Intensivstationen steigt wieder.

Downloads:Als PNG.
Einen besseren Eindruck von der aktuell beschleunigten Dynamik bekommt man – wie immer bei exponentiellem Wachstum –, wenn man auf das prozentuale Wachstum schaut. In der folgenden Grafik ist das prozentuale Wachstum der mit COVID-19-Fällen belegten Intensivbetten im Vergleich zur Vorwoche abgetragen. Zusätzlich ist auch das um eine Woche verschobene Wachstum der gemeldeten Fallzahlen der Altersgruppen ab 60 Jahren dargestellt. Da gemeldete Fälle in der Regel erst nach einigen Tagen intensivmedizinisch behandelt werden müssen – sofern sie diese Behandlung benötigen, sind durch diese Verschiebung die Wachstumsraten besser zu vergleichen.
Das wöchentliche Wachstum bei den mit COVID-19-Fällen belegten Betten liegt nun bei ungefähr 15 Prozent.

Downloads:Als PNG.
Die Grafik zeigt die Inzidenzen in den Altersgruppen nach Kalenderwoche.
Die Inzidenzen steigen in allen Altersgruppen. In den unteren Altersgruppen werden seit fünf Wochen hohe Wachstumsraten verzeichnet. Hier werden die nächsten Wochen zeigen, ob die Osterferien zu einem langsameren Wachstum führen.

Downloads:Als PNG.

Downloads:Als PNG.
Da die Zahl der neu bestätigten Infektionsfälle (blaue Balken) im Wochenrhythmus schwankt, wird an dieser Stelle auch ein Mittelwert der jeweils vergangenen sieben Tage angegeben (blaue Linie). Da die vergangenen sieben Tage betrachtet werden, läuft dieser Wert den Meldezahlen immer etwas nach.

Downloads:Als PNG.
Für die Bewertung der aktuellen Situation ist die Einschätzung wichtig, ob sich das Infektionsgeschehen gleichmäßig über Deutschland verteilt oder ob es einzelne Hotspots und lokale Ausbrüche gibt. Auch wenn die Meldedaten nur ein unzureichendes Bild über das Infektionsgeschehen bieten, können sie daraufhin analysiert werden.
Ein bekanntes Maß für Ungleichheit ist der sogenannte Gini-Koeffizient, eine Zahl zwischen Null und Eins. Nehmen wir etwa die Vermögensverteilung in einem Land. Der Gini-Koeffizient nimmt den Wert Eins an, wenn einer allein alles hat und Null, wenn alle gleich viel besitzen.
Angewendet auf die tägliche Zahl der Neuinfektionen in den Kreisen würde allerdings schon allein durch die unterschiedliche Größe der Kreise eine Ungleichheit entstehen und Unterschiede vorgetäuscht. Aus diesem Grund wird die Ungleichheit im Infektionsgeschehen hier auf Basis der Inzidenz berechnet.
Ende Februar war die Ungleichheit bei den gemeldeten Fällen noch sehr groß, fiel dann aber mit steigender Fallzahl ab, da sich das Virus über Deutschland verteilte. Auch in den Hochzeiten waren die gemeldeten Inzidenzen nicht gleichmäßig verteilt.

Downloads:Als PNG.
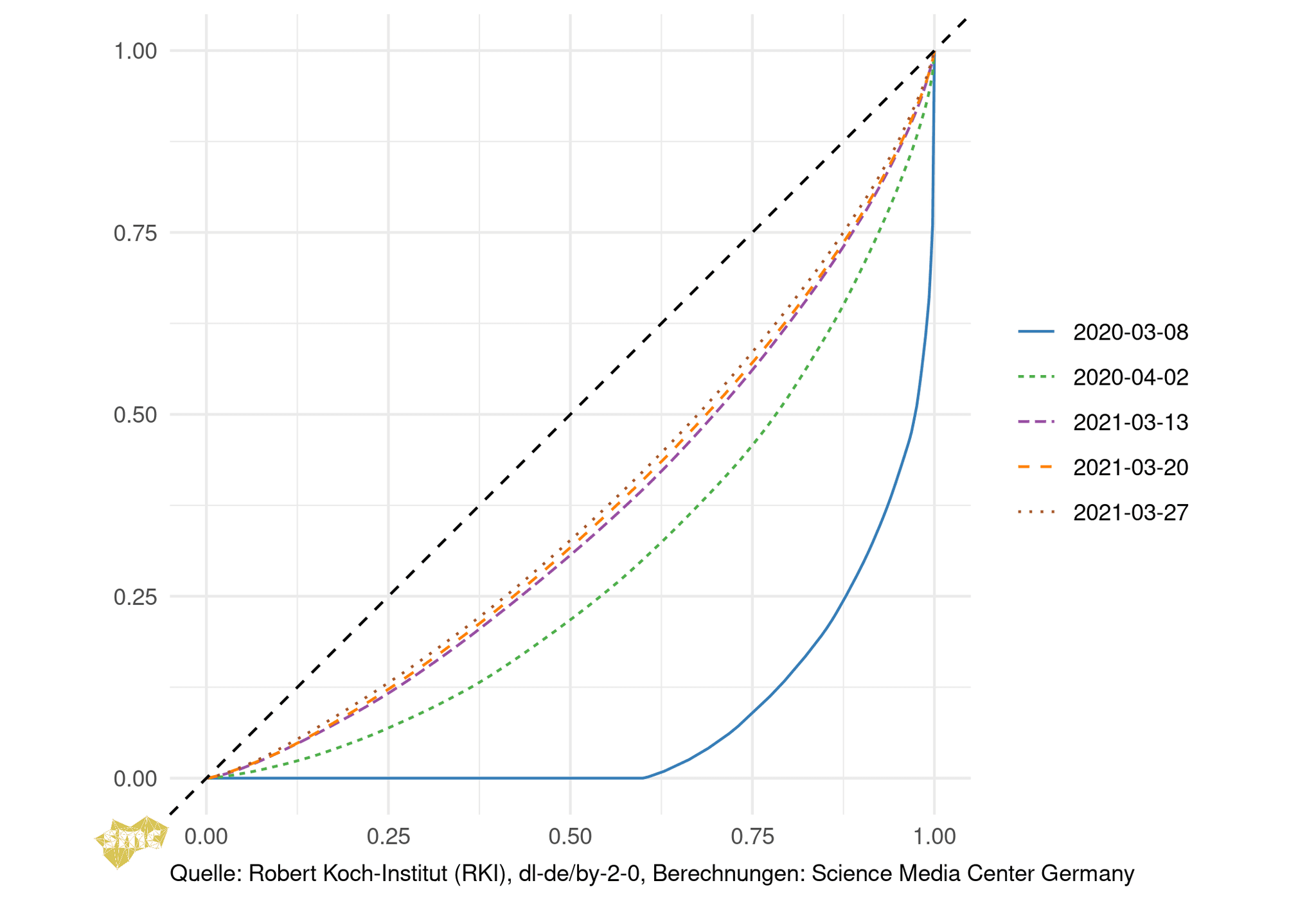
Neben der zeitlichen Betrachtung ist als Querschnitt auch eine Betrachtung der Verteilung in den Landkreisen zu einem bestimmten Zeitpunkt möglich. Die sogenannte Lorenzkurve zeigt, wie viel Prozent der Landkreise (X-Achse) wie viel Prozent der pro Landkreis aufsummierten Inzidenzen ausmachen. Dabei ist wichtig, dass es sich um diese relative Maßzahl handelt und nicht um die absolute, direkte Zahl der Infektionsfälle! München geht in diese Berechnung mit dem gleichen Gewicht ein wie Zweibrücken.
Je näher eine Lorenzkurve an der Diagonalen liegt, desto gleichmäßiger ist die Maßzahl verteilt, eine Kurve, die weit davon entfernt ist, zeugt von einer ungleichen Verteilung.
Betrachtet werden verschiedene Zeitpunkte:

Downloads:Als PNG.
Die Tatsache, dass die Kreise in Deutschland sehr unterschiedliche Einwohnerzahlen haben, macht die Vergleichbarkeit schwer. Relative Maßzahlen können bei kleinen Kreisen dazu führen, dass Zufallsschwankungen großen Einfluss haben, große Kreise haben bei gleicher relativer Anzahl viel mehr Fälle, sodass sie bei absoluten Maßzahlen eher auffallen.
Die folgenden beiden Tabellen enthalten vier verschiedene Maßzahlen. Für den 29.03.2021 werden jeweils die für sieben Tage geglätteten Fallzahlen pro Tag und die Inzidenz angegeben. Darüber hinaus wird jeweils die Differenz der Maßzahl zu dem Wert vom 22.03.2021 angegeben, um eine Veränderung zur Vorwoche zu betrachten.
Die erste Tabelle zeigt die zehn Kreise mit den höchsten Differenzen der Fallzahlen zur Vorwoche, in der zweiten Tabelle werden die Kreise mit den höchsten Differenzen der Inzidenz zur Vorwoche angegeben. Während auf Grund der absoluten Maßzahl in der ersten Tabelle eher große Kreise enthalten sind, werden in der zweiten Tabelle tendenziell kleinere Kreise aufgezählt. Beide Tabellen geben keine Aussage darüber, ob hier steigende Fallzahlen im gesamten Kreis oder nur in einigen Einrichtungen vorliegen.
| Landkreis | Differenz Fälle pro Tag | Fallzahlen pro Tag | Differenz Inzidenz | Inzidenz |
|---|---|---|---|---|
| SK Hamburg | 98.0 | 419.9 | 37.1 | 159.1 |
| Region Hannover | 49.7 | 252.7 | 30.1 | 152.9 |
| SK Chemnitz | 47.7 | 118.7 | 135.5 | 337.3 |
| LK Rems-Murr-Kreis | 43.7 | 91.7 | 71.7 | 150.3 |
| LK Schwäbisch Hall | 41.6 | 135.9 | 147.9 | 483.3 |
| SK München | 39.4 | 218.0 | 18.6 | 102.8 |
| LK Recklinghausen | 35.6 | 126.4 | 40.5 | 144.1 |
| LK Gütersloh | 34.7 | 75.0 | 66.6 | 143.9 |
| SK Berlin Marzahn-Hellersdorf | 34.0 | 72.6 | 88.2 | 188.2 |
| SK Köln | 33.6 | 211.0 | 21.6 | 135.8 |
| Landkreis | Differenz Fälle pro Tag | Fallzahlen pro Tag | Differenz Inzidenz | Inzidenz |
|---|---|---|---|---|
| LK Ostallgäu | 31.4 | 66.3 | 155.9 | 328.7 |
| LK Schwäbisch Hall | 41.6 | 135.9 | 147.9 | 483.3 |
| SK Chemnitz | 47.7 | 118.7 | 135.5 | 337.3 |
| SK Frankfurt (Oder) | 11.0 | 15.0 | 133.3 | 181.8 |
| LK Ilm-Kreis | 19.9 | 48.0 | 130.8 | 316.2 |
| SK Memmingen | 7.6 | 12.3 | 120.2 | 195.0 |
| LK Kelheim | 21.0 | 53.0 | 119.5 | 301.5 |
| LK Burgenlandkreis | 27.0 | 83.1 | 105.7 | 325.4 |
| SK Worms | 12.1 | 25.9 | 101.8 | 216.7 |
| LK Regensburg | 28.1 | 57.6 | 101.6 | 207.7 |
Diesem Report liegen die Daten des Robert Koch-Instituts (RKI) zu Grunde, die im esri COVID-19 GeoHub zur Verfügung gestellt werden. Da ein Teil der Daten erst Tage nach dem offiziellen Meldedatum vom RKI erfasst werden, können sich diese auch nachträglich ändern. Insbesondere die jüngsten Daten unterliegen in der Regel noch starken Veränderungen und werden in diesem Report deswegen grau hinterlegt. Der Datensatz ist nach den Landkreisen und kreisfreien Städten, Berlin zusätzlich in die Bezirke aufgeteilt. Die Zahl der nicht diagnostizierten Fälle ist unbekannt und daher nicht enthalten.
Weitere Datenquellen sind die SurvStat-Datenbank des RKI und das DIVI-Intensivregister. Bevölkerungsdaten stammen aus der Genesis-Datenbank des statistischen Bundesamts beziehungsweise des Landesamts Berlin-Brandenburg.
Der in diesem Bericht verwendete Begriff Inzidenz ist allgemein als die Häufigkeit der in einer Zeitspanne neu auftretenden Fälle einer Erkrankung innerhalb einer Population definiert. Hier sind damit immer die in den vergangenen sieben Tagen gemeldeten Fälle pro 100 000 Personen gemeint.
Seit Beginn des Jahres 2020 und verstärkt in Zeiten der Corona-Pandemie verfolgt und bewertet die Redaktion und das SMC Lab täglich alle zugänglichen Daten und Meldezahlen zu COVID-19. Doch Zahlen, Fakten und Grafiken reichen für sich allein nicht aus, das komplexe Geschehen angemessen zu beschreiben und zu verstehen, was relevant ist.
Für informierte Diskussionen hatte das SMC Lab, seine Programmierer, Software-Experten und unser Statistiker bereits zu Jahresbeginn Tools zur Verfügung gestellt, damit die Redaktion interaktiv Daten zu COVID-19 verfolgen, diese visuell leicht erfassbar darzustellen und um wichtige Maßzahlen in Zeitreihen beobachten zu können - für Deutschland, die Bundesländer, die Kreise und kreisfreien Städte sowie International.
Diese Tools stellen wir nun schrittweise in interaktiven Apps zur Verfügung, damit Nutzerinnen und Nutzer dort Daten anschauen und downloaden können, die für Sie relevant sind.
Die Meldezahlen des Robert Koch-Instituts (RKI) zur Corona-Epidemie in Deutschland finden Sie unter diesem Link.
Die internationalen Meldezahlen der Weltgesundheitsorganisation WHO finden Sie unter diesem Link.
Wenn Sie Fragen zu diesen Daten haben oder Auswertungen für weitere Länder erhalten wollen, das SMC Lab kann Auswertungen erzeugen.
Lars Koppers, Gastwissenschaftler am SMC Lab
Heinz Greuling, Leiter Innovation Digitale Medien
Marleen Halbach, Redaktionsleiterin
Telefon: +49 221 8888 25-0
E-Mail: redaktion@sciencemediacenter.de