SMC Corona Report
Dieser wöchentliche Report des Science Media Center Germany (SMC) fasst das aktuelle Corona-Geschehen anhand relevanter Kennzahlen zusammen und bietet neue Blickwinkel auf die verfügbaren Daten.
Das SMC verschafft Ihnen damit einen raschen Überblick über den Verlauf der gegenwärtigen Pandemie in Deutschland. Wir liefern nicht nur die nackten Zahlen, sondern ordnen die Statistiken und ihre zeitliche Entwicklung auch ein. So können Sie mit einem Blick die sich dynamisch verändernde aktuelle Situation erfassen.
In der vergangenen Woche wurden wieder deutlich mehr Tests durchgeführt als in den beiden Wochen davor. Das Niveau vor Weihnachten wurde aber noch nicht ganz erreicht. Auch wenn einige Maßzahlen noch von den Feiertagen beeinflusst sind, kann die Lage von Tag zu Tag besser eingeschätzt werden. Die aktuelle Inzidenz der gemeldeten Fälle liegt etwa 20 Prozent unterhalb des Wertes von direkt vor Weihnachten. Wie stark die Zahlen genau zurückgegangen sind, kann nicht sicher gesagt werden, denn durch den starken Rückgang der gemeldeten Fälle zu Weihnachten kann nicht sicher gesagt werden, wie hoch die Zahlen gestiegen wären, wenn Weihnachten wie üblich getestet worden wäre.
Gerade der aktuelle Trend ist noch schwer einzuschätzen, da die Größe des Wachstums auf dem Vergleich zur Vorwoche beruht und wegen des Jahreswechsels und des Dreikönigstags noch nicht sicher durchgeführt werden kann. Im Situationsbericht der vergangenen Woche wurden an dieser Stelle bereits mehrere Varianten des Wachstums betrachtet, um zumindest eine grobe Abschätzung zu erhalten. Wie erwartet ist das 7-Tage-Wachstum aktuell positiv, da hier mit den Meldezahlen um Neujahr verglichen wird. Der Vergleich mit der Zeit vor Weihnachten (21 Tage) zeigt weiterhin ein deutliches negatives Wachstum.
Interessant sind auch die aktuellen Werte in der Variante der 4-Tages-Glättung. Da hier zum Mitteln der gemeldeten Fälle nur vier und nicht sieben Tage verwendet werden, sind die Feiertage hier nicht mehr von starker Bedeutung, weshalb alle Wachstumsarten negative Werte aufweisen. Für die neuesten Werte gilt aber auch hier, dass sich aufgrund von Nachmeldungen die Zahlen noch deutlich nach oben verschieben werden.

Downloads:Als PNG.
Die Grafik zeigt die Inzidenzen einmal für alle Altersgruppen und einmal ab 60 Jahren. Während der Einfluss der Feiertag inzwischen deutlich abnimmt, ist der aktuelle Trend noch nicht sicher abzuschätzen. Bei den letzten Zeitpunkten ist nur noch der Dreikönigstag im betrachteten Fenster, hier fehlen aber wie üblich noch Nachmeldungen am aktuellen Rand. Bei den sicheren Zahlen (außerhalb des grauen Kastens) werden die Feiertage zum Jahreswechsel noch berücksichtigt.

Downloads:Als PNG.
Die Grafik zeigt für jeden Tag das prozentuale Wachstum der geglätteten Fallzahlen im Vergleich zur Vorwoche. Dabei werden einmal alle gemeldeten Fälle berücksichtigt und einmal nur Fälle mit einem Alter von mindestens 60 Jahren. Das aktuelle positive Wachstum ist den verminderten Meldungen zum Jahreswechsel geschuldet. Das Wachstum wird erst im Laufe der kommenden Woche wieder besser interpretierbar sein.

Downloads:Als PNG.
Während die Inzidenzen in vielen Bundesländern niedriger liegen, als direkt vor Weihnachten, sind sie in einigen Bundesländern noch nicht nennenswert gesunken, oder sogar leicht gestiegen.

Downloads:Als PNG.
Die Zahl der COVID-19-Fälle auf den Intensivstationen sinkt langsam, aber stetig. Die Entwicklung auf Bundeslandebene ist allerdings nicht so eindeutig. Hier steigen die Zahlen in Niedersachsen und in mehreren anderen Bundesländern stagnieren sie. Da an COVID-19 schwer Erkrankte auch in weniger betroffene Bundesländer verlegt werden, ist die Entwicklung auf Bundeslandebene nicht zwingend mit dem dortigen Infektionsgeschehen vergleichbar.

Downloads:Als PNG.
Einen besseren Eindruck von der aktuell beschleunigten Dynamik bekommt man – wie immer bei exponentiellem Wachstum –, wenn man auf das prozentuale Wachstum schaut. In der folgenden Grafik ist das prozentuale Wachstum der mit COVID-19-Fällen belegten Intensivbetten im Vergleich zur Vorwoche abgetragen. Zusätzlich ist auch das um eine Woche verschobene Wachstum der gemeldeten Fallzahlen der Altersgruppen ab 60 Jahren dargestellt. Da gemeldete Fälle in der Regel erst nach einigen Tagen intensivmedizinisch behandelt werden müssen, sofern sie diese Behandlung benötigen, sind durch diese Verschiebung die Wachstumsraten besser zu vergleichen.
Die Wachstumsrate der mit COVID-19-Fällen belegten Betten ist inzwischen negativ, die Zahl der mit COVID-19-Fällen belegten Betten geht also zurück. Durch die Verschiebung der gemeldeten Fälle in der Grafik ist der sichtbare starke Rückgang den Weihnachtsfeiertagen und dem Jahreswechsel geschuldet.

Downloads:Als PNG.
Die Grafik zeigt die Inzidenzen in den Altersgruppen nach Kalenderwoche.
Die steigenden Inzidenzen in allen Altersgruppen sind auf Grund der Normalisierung nach den Feiertagen erwartbar.

Downloads:Als PNG.
Da die Zahl der neu bestätigten Infektionsfälle (gestrichelte Linie) im Wochenrhythmus schwankt, wird an dieser Stelle auch ein Mittelwert der jeweils vergangenen sieben Tage angegeben (blaue Linie). Da die vergangenen sieben Tage betrachtet werden, läuft dieser Wert den Meldezahlen immer etwas nach.

Downloads:Als PNG.
Für die Bewertung der aktuellen Situation ist die Einschätzung wichtig, ob sich das Infektionsgeschehen gleichmäßig über Deutschland verteilt oder ob es einzelne Hotspots und lokale Ausbrüche gibt. Auch wenn die Meldedaten nur ein unzureichendes Bild über das Infektionsgeschehen bieten, können sie daraufhin analysiert werden.
Ein bekanntes Maß für Ungleichheit ist der sogenannte Gini-Koeffizient, eine Zahl zwischen Null und Eins. Nehmen wir etwa die Vermögensverteilung in einem Land. Der Gini-Koeffizient nimmt den Wert Eins an, wenn einer allein alles hat und Null, wenn alle gleich viel besitzen.
Angewendet auf die tägliche Zahl der Neuinfektionen in den Kreisen würde allerdings schon allein durch die unterschiedliche Größe der Kreise eine Ungleichheit entstehen und vorgetäuscht. Aus diesem Grund wird die Ungleichheit im Infektionsgeschehen hier auf Basis der Inzidenz berechnet.
Ende Februar war die Ungleichheit bei den gemeldeten Fällen noch sehr groß, fiel dann aber mit steigender Fallzahl ab, da sich das Virus über Deutschland verteilte. Auch in den Hochzeiten waren die gemeldeten Inzidenzen nicht gleichmäßig verteilt.

Downloads:Als PNG.
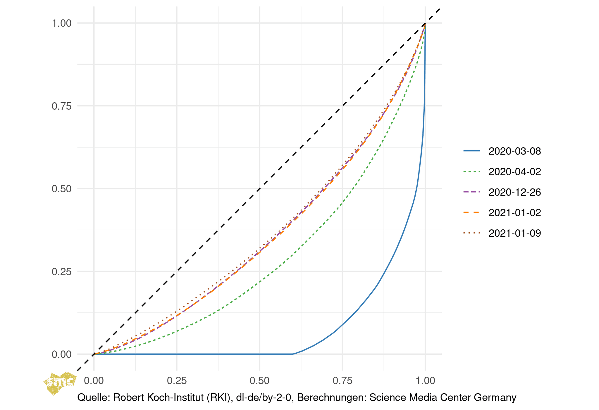
Neben der zeitlichen Betrachtung ist als Querschnitt auch eine Betrachtung der Verteilung in den Landkreisen zu einem bestimmten Zeitpunkt möglich. Die sogenannte Lorenzkurve zeigt, wie viel Prozent der Landkreise (X-Achse) wie viel Prozent der pro Landkreis aufsummierten Inzidenzen ausmachen. Dabei ist wichtig, dass es sich um diese relative Maßzahl handelt und nicht um die absolute, direkte Zahl der Infektionsfälle! München geht in diese Berechnung mit dem gleichen Gewicht ein wie Zweibrücken.
Je näher eine Lorenzkurve an der Diagonalen liegt, desto gleichmäßiger ist die Maßzahl verteilt, eine Kurve, die weit davon entfernt ist, zeugt von einer ungleichen Verteilung.
Betrachtet werden verschiedene Zeitpunkte:

Downloads:Als PNG.
Die Tatsache, dass die Kreise in Deutschland sehr unterschiedliche Einwohnerzahlen haben, macht die Vergleichbarkeit schwer. Relative Maßzahlen können bei kleinen Kreisen dazu führen, dass Zufallsschwankungen großen Einfluss haben, große Kreise haben bei gleicher relativer Anzahl viel mehr Fälle, sodass sie bei absoluten Maßzahlen eher auffallen.
Die folgenden beiden Tabellen enthalten vier verschiedene Maßzahlen. Für den 11.01.2021 werden jeweils die für sieben Tage geglätteten Fallzahlen pro Tag und die Inzidenz angegeben. Darüber hinaus wird jeweils die Differenz der Maßzahl zu dem Wert vom 4.01.2021 angegeben, um eine Veränderung zur Vorwoche zu betrachten.
Die erste Tabelle zeigt die zehn Kreise mit den höchsten Differenzen der Fallzahlen zur Vorwoche, in der zweiten Tabelle werden die Kreise mit den höchsten Differenzen der Inzidenz zur Vorwoche angegeben. Während auf Grund der absoluten Maßzahl in der ersten Tabelle eher große Kreise enthalten sind, werden in der zweiten Tabelle tendenziell kleinere Kreise aufgezählt. Beide Tabellen geben keine Aussage darüber, ob hier steigende Fallzahlen im gesamten Kreis oder nur in einigen Einrichtungen vorliegen.
| Landkreis | Differenz Fälle pro Tag | Fallzahlen pro Tag | Differenz Inzidenz | Inzidenz |
|---|---|---|---|---|
| LK Stadtverband Saarbrücken | 95.6 | 114.0 | 203.6 | 242.8 |
| SK Berlin Pankow | 79.4 | 133.6 | 135.8 | 228.4 |
| SK Bielefeld | 71.6 | 113.6 | 149.9 | 237.9 |
| LK Sächsische Schweiz-Osterzgebirge | 70.4 | 205.3 | 200.7 | 585.1 |
| Region Hannover | 65.3 | 264.1 | 39.5 | 159.8 |
| LK Mettmann | 64.9 | 149.6 | 93.5 | 215.6 |
| LK Leipzig | 59.0 | 168.6 | 160.0 | 457.1 |
| LK Saalekreis | 51.1 | 124.3 | 194.8 | 473.3 |
| SK Leipzig | 50.4 | 215.1 | 59.5 | 253.9 |
| SK Berlin Treptow-Köpenick | 50.3 | 91.0 | 128.6 | 232.7 |
| Landkreis | Differenz Fälle pro Tag | Fallzahlen pro Tag | Differenz Inzidenz | Inzidenz |
|---|---|---|---|---|
| LK Saalfeld-Rudolstadt | 42.1 | 88.4 | 285.8 | 599.8 |
| LK Wittenberg | 38.3 | 76.6 | 214.5 | 429.0 |
| LK Hildburghausen | 18.6 | 47.6 | 205.7 | 526.9 |
| LK Teltow-Fläming | 49.7 | 103.6 | 204.7 | 426.5 |
| LK Stadtverband Saarbrücken | 95.6 | 114.0 | 203.6 | 242.8 |
| LK Sächsische Schweiz-Osterzgebirge | 70.4 | 205.3 | 200.7 | 585.1 |
| SK Suhl | 10.3 | 22.9 | 195.7 | 434.9 |
| LK Saalekreis | 51.1 | 124.3 | 194.8 | 473.3 |
| LK Burgenlandkreis | 44.0 | 99.1 | 172.2 | 388.0 |
| SK Ansbach | 10.0 | 15.6 | 167.5 | 260.8 |
Diesem Report liegen die Daten des Robert Koch-Instituts (RKI) zu Grunde, die im esri COVID-19 GeoHub zur Verfügung gestellt werden. Da ein Teil der Daten erst Tage nach dem offiziellen Meldedatum vom RKI erfasst werden, können sich diese auch nachträglich ändern. Insbesondere die jüngsten Daten unterliegen in der Regel noch starken Veränderungen und werden in diesem Report deswegen grau hinterlegt. Der Datensatz ist nach den Landkreisen und kreisfreien Städten, Berlin zusätzlich in die Bezirke aufgeteilt. Die Zahl der nicht diagnostizierten Fälle ist unbekannt und daher nicht enthalten.
Weitere Datenquellen sind die SurvStat-Datenbank des RKI und das DIVI-Intensivregister. Bevölkerungsdaten stammen aus der Genesis-Datenbank des statistischen Bundesamts beziehungsweise des Landesamts Berlin-Brandenburg.
Der in diesem Bericht verwendete Begriff Inzidenz ist allgemein als die Häufigkeit der in einer Zeitspanne neu auftretenden Fälle einer Erkrankung innerhalb einer Population definiert. Hier sind damit immer die in den vergangenen sieben Tagen gemeldeten Fälle pro 100 000 Personen gemeint.
Seit Beginn des Jahres 2020 und verstärkt in Zeiten der Corona-Pandemie verfolgt und bewertet die Redaktion und das SMC Lab täglich alle zugänglichen Daten und Meldezahlen zu COVID-19. Doch Zahlen, Fakten und Grafiken reichen für sich allein nicht aus, das komplexe Geschehen angemessen zu beschreiben und zu verstehen, was relevant ist.
Für informierte Diskussionen hatte das SMC Lab, seine Programmierer, Software-Experten und unser Statistiker bereits zu Jahresbeginn Tools zur Verfügung gestellt, damit die Redaktion interaktiv Daten zu COVID-19 verfolgen, diese visuell leicht erfassbar darzustellen und um wichtige Maßzahlen in Zeitreihen beobachten zu können - für Deutschland, die Bundesländer, die Kreise und kreisfreien Städte sowie International.
Diese Tools stellen wir nun schrittweise in interaktiven Apps zur Verfügung, damit Nutzerinnen und Nutzer dort Daten anschauen und downloaden können, die für Sie relevant sind.
Die Meldezahlen des Robert Koch-Instituts (RKI) zur Corona-Epidemie in Deutschland finden Sie unter diesem Link.
Die internationalen Meldezahlen der Weltgesundheitsorganisation WHO finden Sie unter diesem Link.
Wenn Sie Fragen zu diesen Daten haben oder Auswertungen für weitere Länder erhalten wollen, das SMC Lab kann Auswertungen erzeugen.
Volker Stollorz, Redaktionsleiter
Heinz Greuling, Leiter Innovation Digitale Medien
Meik Bittkowski, Leiter Softwareentwicklung und Datenwissenschaft
Lars Koppers, Gastwissenschaftler am SMC Lab
Telefon: +49 221 8888 25-0
E-Mail: redaktion@sciencemediacenter.de