SMC Corona Report
Dieser wöchentliche Report des Science Media Center Germany (SMC) fasst das aktuelle Corona-Geschehen anhand relevanter Kennzahlen zusammen und bietet neue Blickwinkel auf die verfügbaren Daten.
Das SMC verschafft Ihnen damit einen raschen Überblick über den Verlauf der gegenwärtigen Pandemie in Deutschland. Wir liefern nicht nur die nackten Zahlen, sondern ordnen die Statistiken und ihre zeitliche Entwicklung auch ein. So können Sie mit einem Blick die sich dynamisch verändernde aktuelle Situation erfassen.
Die Gesamtinzidenz für Deutschland stagniert weiterhin, inzwischen schwächt sich aber in allen Bundesländern das Wachstum ab. Ein Sinken der Inzidenzen in den kommenden Tagen scheint damit möglich. Der Impffortschritt kann diesen Prozess unterstützen, aber nicht alle Maßzahlen zeigen in die gleiche Richtung. Der Mobilitätsmonitor verzeichnet zuletzt einen deutlichen Anstieg der Mobilität. Erhöht sich die Zahl der Kontakte schneller als der Impffortschritt dies zulässt, ist auch ein weiterer Anstieg der Inzidenzen möglich.
Auf den Intensivstationen ist aktuell kein Wachstum der Zahl der durch COVID-19-Fälle belegte Betten zu beobachten. Da sich diese Bettenzahl noch auf hohem Niveau befindet, kann erst nach einem deutlichen Rückgang von einer Entspannung gesprochen werden.
Mit der Freigabe des BioNTech-Impfstoffs für 12 bis 15-Jährige, die für Juni erwartet wird, würden drei Millionen Personen zusätzlich impfberechtigt werden. Soweit auch die beiden Vektorimpfstoffe weiter genutzt werden und die zwischenzeitlich angekündigten Liefermengen in etwa eingehalten werden, ist eine Erstimpfung für alle Personen aus Priorisierungsgruppe 4 bis Ende Juni bei einer angenommenen Gesamt-Impfquote von 80 Prozent auch mit diesen zusätzlichen Impfberechtigten rechnerisch möglich. Auch wenn die April-Lieferung von Johnson & Johnson noch sehr klein war, werden bereits erste Dosen verimpft. Für die kommende Woche sind für die Praxen 1,5 Millionen AstraZeneca-Dosen angekündigt.
Da immer mehr Impfstoff verfügbar ist, kann sich auch das Impftempo beschleunigen. Die Grafik zeigt den über sieben Tage geglätteten Verlauf der täglichen Impfungen insgesamt und nach Erst- beziehungsweise Zweitimpfung getrennt. Deutlich zu sehen ist das zeitlich verzögerte Wachstum der Erst- und Zweitimpfungen. Aufgrund der limitierten Menge an Impfstoff musste im Januar sogar die Zahl der Erstimpfungen reduziert werden, um genug Dosen für die Zweitimpfungen bereit halten zu können. Mit den Lieferungen dieser Woche steigt das Impftempo wieder an. Als Besonderheit wird der Johnson & Johnson Impfstoff direkt als Zweitimpfung gezählt, da hier nur eine Impfdosis nötig ist.

Downloads:Als PNG.
Da sowohl die Zahl der täglich verimpften Dosen als auch die Größe der Impfstofflieferungen wächst, darf bei der Frage, ob zu viel Impfstoff gelagert wird, nicht nur auf die absoluten Zahlen geachtet werden. In der folgenden Grafik wird der noch nicht verimpfte Impfstoff mit den der aktuellen über sieben Tage geglätteten Impfgeschwindigkeit verglichen. Die Grafik gibt also an, wie viele Tage der gelagerte Impfstoff ohne Nachschub ausreichen würde.
Die Lieferungen für die aktuelle Kalenderwoche sind noch nicht in den Daten enthalten. Dadurch können am aktuellen Rand schon Impfungen berücksichtigt werden, die noch nicht als geliefert verbucht sind.
Der Impfstoff von BioNTech/Pfizer wird inzwischen wöchentlich geliefert und größtenteils bis zur nächsten Lieferung verimpft.
Bei Moderna sind die Lieferungen seltener und die Impfstoffmenge ist vergleichsweise klein.
Bei AstraZeneca wird erst in der kommenden Woche wieder eine größere Lieferung erwartet. Die Zahl der durchgeführten Impfungen wird sich in dieser Woche verringern.
Johnson & Johnson hat bisher nur sehr wenig Impfstoff geliefert. Dieser wird bisher fast nicht genutzt. Eine Darstellung der Reserven ist daher aktuell noch nicht sinnvoll.

Downloads:Als PNG.

Downloads:Als PNG.
Die Grafik zeigt die Inzidenzen einmal für alle Altersgruppen und einmal ab 60 Jahren. Die Gesamt-Inzidenz stagniert weiterhin. Bei den über 60-Jährigen ist eine sinkende Inzidenz zu beobachten.

Downloads:Als PNG.
Die Grafik zeigt für jeden Tag das prozentuale Wachstum der geglätteten Fallzahlen im Vergleich zur Vorwoche. Dabei werden einmal alle gemeldeten Fälle berücksichtigt und einmal nur Fälle mit einem Alter von mindestens 60 Jahren. Wie erwartet ist das Wachstum stark gesunken und liegt aktuell nahe Null. In den oberen Altersklassen ist das Wachstum leicht negativ.

Downloads:Als PNG.
Auch wenn einzelne Bundesländer noch ein Wachstum verzeichnen, schwächt sich dieses in allen Bundesländern ab.

Downloads:Als PNG.
Die Zahl der COVID-19-Fälle auf den Intensivstationen stagniert. Die kommenden Tage werden zeigen, ob hier eine Trendwende einsetzt.

Downloads:Als PNG.
Einen besseren Eindruck von der aktuell beschleunigten Dynamik bekommt man – wie immer bei exponentiellem Wachstum –, wenn man auf das prozentuale Wachstum schaut. In der folgenden Grafik ist das prozentuale Wachstum der mit COVID-19-Fällen belegten Intensivbetten im Vergleich zur Vorwoche abgetragen. Zusätzlich ist auch das um eine Woche verschobene Wachstum der gemeldeten Fallzahlen der Altersgruppen ab 60 Jahren dargestellt. Da gemeldete Fälle in der Regel erst nach einigen Tagen intensivmedizinisch behandelt werden müssen – sofern sie diese Behandlung benötigen, sind durch diese Verschiebung die Wachstumsraten besser zu vergleichen.
Das wöchentliche Wachstum bei den mit COVID-19-Fällen belegten Betten ist wieder gesunken und liegt aktuell bei ungefähr Null.

Downloads:Als PNG.
Die Grafik zeigt die Inzidenzen in den Altersgruppen nach Kalenderwoche.
Das größte prozentuale Wachstum weisen die Altersjahrgänge unter 15 Jahren auf. Ab 65 Jahren gehen die Inzidenzen zurück. Auch im Bereich zwischen 15 und 35 gibt es leichte Rückgänge.

Downloads:Als PNG.

Downloads:Als PNG.
Da die Zahl der neu bestätigten Infektionsfälle (blaue Balken) im Wochenrhythmus schwankt, wird an dieser Stelle auch ein Mittelwert der jeweils vergangenen sieben Tage angegeben (blaue Linie). Da die vergangenen sieben Tage betrachtet werden, läuft dieser Wert den Meldezahlen immer etwas nach.

Downloads:Als PNG.
Für die Bewertung der aktuellen Situation ist die Einschätzung wichtig, ob sich das Infektionsgeschehen gleichmäßig über Deutschland verteilt oder ob es einzelne Hotspots und lokale Ausbrüche gibt. Auch wenn die Meldedaten nur ein unzureichendes Bild über das Infektionsgeschehen bieten, können sie daraufhin analysiert werden.
Ein bekanntes Maß für Ungleichheit ist der sogenannte Gini-Koeffizient, eine Zahl zwischen Null und Eins. Nehmen wir etwa die Vermögensverteilung in einem Land. Der Gini-Koeffizient nimmt den Wert Eins an, wenn einer allein alles hat und Null, wenn alle gleich viel besitzen.
Angewendet auf die tägliche Zahl der Neuinfektionen in den Kreisen würde allerdings schon allein durch die unterschiedliche Größe der Kreise eine Ungleichheit entstehen und Unterschiede vorgetäuscht. Aus diesem Grund wird die Ungleichheit im Infektionsgeschehen hier auf Basis der Inzidenz berechnet.
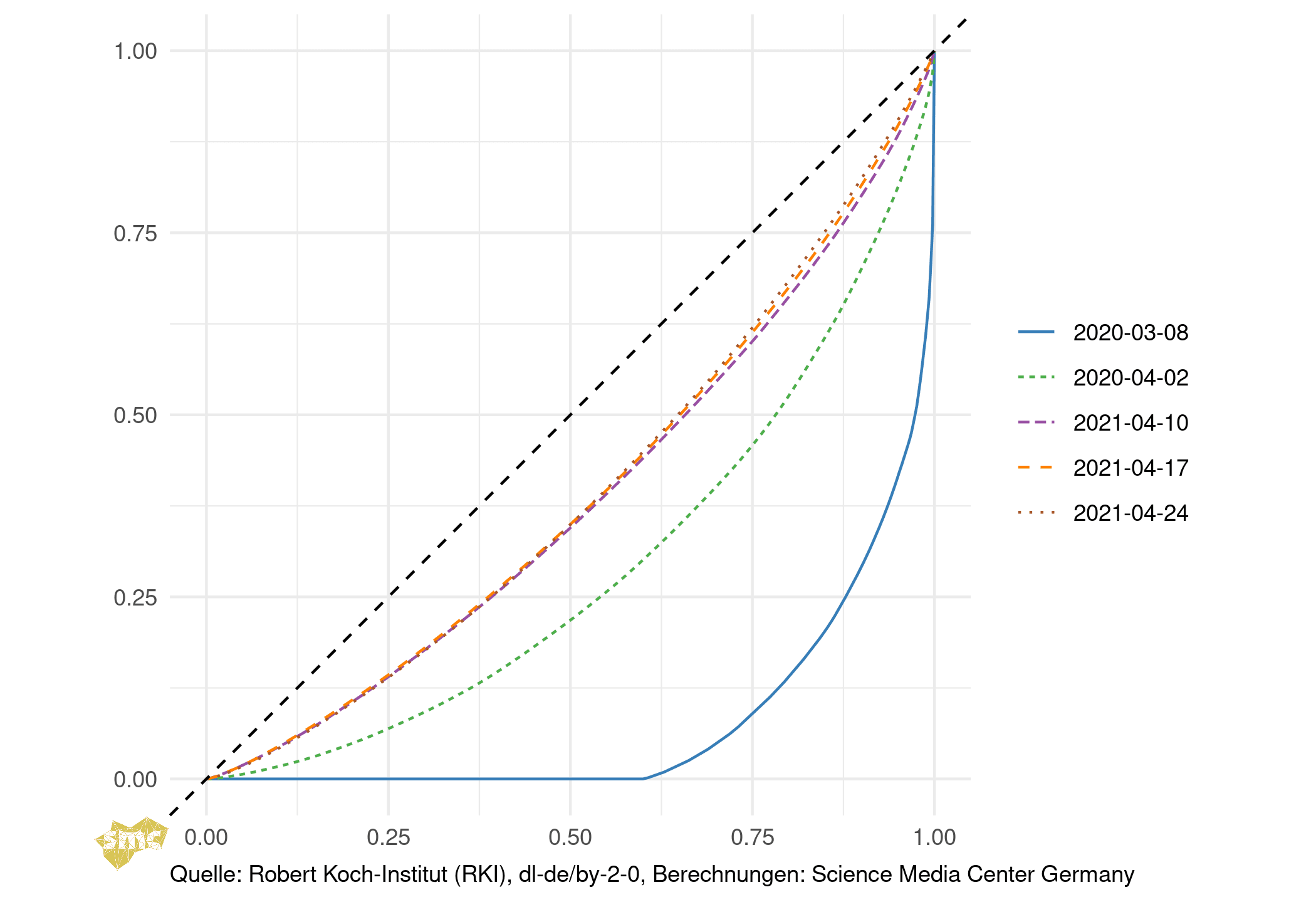
Ende Februar war die Ungleichheit bei den gemeldeten Fällen noch sehr groß, fiel dann aber mit steigender Fallzahl ab, da sich das Virus über Deutschland verteilte. Auch in den Hochzeiten waren die gemeldeten Inzidenzen nicht gleichmäßig verteilt.

Downloads:Als PNG.
Neben der zeitlichen Betrachtung ist als Querschnitt auch eine Betrachtung der Verteilung in den Landkreisen zu einem bestimmten Zeitpunkt möglich. Die sogenannte Lorenzkurve zeigt, wie viel Prozent der Landkreise (X-Achse) wie viel Prozent der pro Landkreis aufsummierten Inzidenzen ausmachen. Dabei ist wichtig, dass es sich um diese relative Maßzahl handelt und nicht um die absolute, direkte Zahl der Infektionsfälle! München geht in diese Berechnung mit dem gleichen Gewicht ein wie Zweibrücken.
Je näher eine Lorenzkurve an der Diagonalen liegt, desto gleichmäßiger ist die Maßzahl verteilt, eine Kurve, die weit davon entfernt ist, zeugt von einer ungleichen Verteilung.
Betrachtet werden verschiedene Zeitpunkte:

Downloads:Als PNG.
Die Tatsache, dass die Kreise in Deutschland sehr unterschiedliche Einwohnerzahlen haben, macht die Vergleichbarkeit schwer. Relative Maßzahlen können bei kleinen Kreisen dazu führen, dass Zufallsschwankungen großen Einfluss haben, große Kreise haben bei gleicher relativer Anzahl viel mehr Fälle, sodass sie bei absoluten Maßzahlen eher auffallen.
Die folgenden beiden Tabellen enthalten vier verschiedene Maßzahlen. Für den 26.04.2021 werden jeweils die für sieben Tage geglätteten Fallzahlen pro Tag und die Inzidenz angegeben. Darüber hinaus wird jeweils die Differenz der Maßzahl zu dem Wert vom 19.04.2021 angegeben, um eine Veränderung zur Vorwoche zu betrachten.
Die erste Tabelle zeigt die zehn Kreise mit den höchsten Differenzen der Fallzahlen zur Vorwoche, in der zweiten Tabelle werden die Kreise mit den höchsten Differenzen der Inzidenz zur Vorwoche angegeben. Während auf Grund der absoluten Maßzahl in der ersten Tabelle eher große Kreise enthalten sind, werden in der zweiten Tabelle tendenziell kleinere Kreise aufgezählt. Beide Tabellen geben keine Aussage darüber, ob hier steigende Fallzahlen im gesamten Kreis oder nur in einigen Einrichtungen vorliegen.
| Landkreis | Differenz Fälle pro Tag | Fallzahlen pro Tag | Differenz Inzidenz | Inzidenz |
|---|---|---|---|---|
| SK Frankfurt am Main | 53.4 | 224.9 | 49.0 | 206.2 |
| SK Köln | 46.7 | 375.0 | 30.1 | 241.3 |
| LK Esslingen | 46.3 | 194.9 | 60.5 | 254.9 |
| LK Erzgebirgskreis | 36.7 | 196.3 | 76.7 | 410.2 |
| SK Essen | 31.4 | 149.4 | 37.8 | 179.5 |
| LK Bautzen | 30.0 | 151.3 | 70.1 | 353.3 |
| LK Rems-Murr-Kreis | 28.7 | 146.6 | 47.0 | 240.1 |
| LK Calw | 28.3 | 62.1 | 124.3 | 273.2 |
| LK Zollernalbkreis | 25.7 | 68.4 | 95.1 | 253.0 |
| LK Ludwigsburg | 24.1 | 178.9 | 30.9 | 229.5 |
| Landkreis | Differenz Fälle pro Tag | Fallzahlen pro Tag | Differenz Inzidenz | Inzidenz |
|---|---|---|---|---|
| LK Calw | 28.3 | 62.1 | 124.3 | 273.2 |
| LK Freudenstadt | 16.7 | 46.0 | 98.9 | 272.3 |
| LK Zollernalbkreis | 25.7 | 68.4 | 95.1 | 253.0 |
| LK Rottal-Inn | 14.7 | 53.3 | 84.8 | 307.0 |
| SK Coburg | 4.6 | 15.0 | 77.9 | 255.6 |
| LK Erzgebirgskreis | 36.7 | 196.3 | 76.7 | 410.2 |
| SK Herne | 16.3 | 66.0 | 72.9 | 295.3 |
| LK Bautzen | 30.0 | 151.3 | 70.1 | 353.3 |
| LK Kulmbach | 7.0 | 24.3 | 68.4 | 237.5 |
| LK Merzig-Wadern | 10.0 | 21.7 | 67.8 | 147.2 |
Diesem Report liegen die Daten des Robert Koch-Instituts (RKI) zu Grunde, die im esri COVID-19 GeoHub zur Verfügung gestellt werden. Da ein Teil der Daten erst Tage nach dem offiziellen Meldedatum vom RKI erfasst werden, können sich diese auch nachträglich ändern. Insbesondere die jüngsten Daten unterliegen in der Regel noch starken Veränderungen und werden in diesem Report deswegen grau hinterlegt. Der Datensatz ist nach den Landkreisen und kreisfreien Städten, Berlin zusätzlich in die Bezirke aufgeteilt. Die Zahl der nicht diagnostizierten Fälle ist unbekannt und daher nicht enthalten.
Weitere Datenquellen sind die SurvStat-Datenbank des RKI und das DIVI-Intensivregister. Bevölkerungsdaten stammen aus der Genesis-Datenbank des statistischen Bundesamts beziehungsweise des Landesamts Berlin-Brandenburg.
Der in diesem Bericht verwendete Begriff Inzidenz ist allgemein als die Häufigkeit der in einer Zeitspanne neu auftretenden Fälle einer Erkrankung innerhalb einer Population definiert. Hier sind damit immer die in den vergangenen sieben Tagen gemeldeten Fälle pro 100 000 Personen gemeint.
Seit Beginn des Jahres 2020 und verstärkt in Zeiten der Corona-Pandemie verfolgt und bewertet die Redaktion und das SMC Lab täglich alle zugänglichen Daten und Meldezahlen zu COVID-19. Doch Zahlen, Fakten und Grafiken reichen für sich allein nicht aus, das komplexe Geschehen angemessen zu beschreiben und zu verstehen, was relevant ist.
Für informierte Diskussionen hatte das SMC Lab, seine Programmierer, Software-Experten und unser Statistiker bereits zu Jahresbeginn Tools zur Verfügung gestellt, damit die Redaktion interaktiv Daten zu COVID-19 verfolgen, diese visuell leicht erfassbar darzustellen und um wichtige Maßzahlen in Zeitreihen beobachten zu können - für Deutschland, die Bundesländer, die Kreise und kreisfreien Städte sowie International.
Diese Tools stellen wir nun schrittweise in interaktiven Apps zur Verfügung, damit Nutzerinnen und Nutzer dort Daten anschauen und downloaden können, die für Sie relevant sind.
Die Meldezahlen des Robert Koch-Instituts (RKI) zur Corona-Epidemie in Deutschland finden Sie unter diesem Link.
Die internationalen Meldezahlen der Weltgesundheitsorganisation WHO finden Sie unter diesem Link.
Wenn Sie Fragen zu diesen Daten haben oder Auswertungen für weitere Länder erhalten wollen, das SMC Lab kann Auswertungen erzeugen.
Lars Koppers, Gastwissenschaftler am SMC Lab
Heinz Greuling, Leiter Innovation Digitale Medien
Marleen Halbach, Redaktionsleiterin
Telefon: +49 221 8888 25-0
E-Mail: redaktion@sciencemediacenter.de