SMC Corona Report
Dieser wöchentliche Report des Science Media Center Germany (SMC) fasst das aktuelle Corona-Geschehen anhand relevanter Kennzahlen zusammen und bietet neue Blickwinkel auf die verfügbaren Daten.
Das SMC verschafft Ihnen damit einen raschen Überblick über den Verlauf der gegenwärtigen Pandemie in Deutschland. Wir liefern nicht nur die nackten Zahlen, sondern ordnen die Statistiken und ihre zeitliche Entwicklung auch ein. So können Sie mit einem Blick die sich dynamisch verändernde aktuelle Situation erfassen.
In unserer RKI Corona App können jetzt auch nur die zeitlichen Verläufe der Altersgruppen ab 60 Jahren ausgewählt werden.
Einige journalistische Formate, wie zum Beispiel Infokästen oder Nachrichten, erlauben es nicht, Zahlen ausgiebig einzuordnen. Um so wichtiger ist es dabei, diejenigen Zahlen zu präsentieren, die einen guten Überblick über die aktuelle Situation der Pandemie geben. Die vom RKI in ihrem Dashboard angegebene Veränderung zum Vortag eignet sich dafür nicht: zum einen schwankt diese Zahl im Wochenverlauf, zum anderen werden häufig Fälle für schon vergangene Tage nachgemeldet. Einer besonders niedrigen Zahl folgt oft eine höhere, die dann besonders viele Nachmeldungen enthält. Daher ist auch die Meldung der tagesaktuellen Zahl der Infizierten eher nicht geeignet, die Lage oder einen Trend zu beschreiben. Auch der Vermerk, dass diese Zahl am Wochenende oft niedriger ausfällt, hilft bei der Einordnung nur bedingt.
Für einen guten Überblick über die aktuelle Situation sind zwei Informationen notwendig: Eine Kennzahl zu der aktuellen Höhe der gemeldeten Fälle und eine zum aktuellen Trend, die Aufschluss geben kann, ob die Fallzahlen steigen oder sinken.
Die aktuelle Höhe kann zum Beispiel durch einen Mittelwert der vergangenen sieben Tage gut dargestellt werden. Um Probleme mit Nachmeldungen zu reduzieren, sollte dieser Mittelwert nicht über die vergangenen sieben verfügbaren Tage gebildet werden, sondern wenige Tage (zwei bis fünf – je nach Meldeverzug im interessierenden Gebiet) in die Vergangenheit verschoben werden. Sind die letzten verfügbaren Daten beispielsweise vom 05.11., könnte der Mittelwert über die Tage vom 27.10. bis zum 02.11. gebildet werden. Diese kann beispielsweise aus den Corona-Zeitreihen abgelesen werden.
Für den aktuellen Trend muss das aktuelle Wachstum aussagekräftig dargestellt werden. Der R-Wert tut dies zwar, ist aber als Maßzahl eher abstrakt (Was bedeutet 1,1 genau?) und am aktuellen Rand oft auch noch mit viel Unsicherheit belegt, sodass er bei steigenden Fallzahlen unter eins fallen kann. Deutlich stabiler ist das prozentuale Wachstum zur Vorwoche. Im einfachsten Fall kann der prozentuale Anstieg zum gleichen Tag der Vorwoche berechnet werden, aber auch diese Maßzahl kann schnell in die falsche Richtung zeigen, wenn es Meldeverzüge, zum Beispiel aufgrund von Feiertagen gibt. Deutlich stabiler ist das prozentuale Wachstum über sieben Tage errechnet anhand der geglätteten Reihe der gemeldeten Fälle, wie sie auch in diesem Report verwendet wird. Bei beiden Maßzahlen müssen allerdings auch die letzten verfügbaren Datenpunkte mit Vorsicht betrachtet werden, da sie sich auf Grund von Nachmeldungen zum Teil noch deutlich verändern.
Je nach Datenverfügbarkeit und -aktualität könnten zum Beispiel folgende Kennzahlenpaare verwendet werden:
„In Deutschland wurden zuletzt rund 16500 Fälle pro Tag gemeldet, das wöchentliche Wachstum verlangsamt sich deutlich und lag am Montag noch bei 41.3 Prozent.“
Für Köln ist der Meldeverzug in der Regel nicht groß, hier können auch die Inzidenzen verwendet werden: „Die Inzidenz für Köln liegt am heutigen Tag bei 177.4. Die gemittelte Zahl der Neuinfektionen ist am Dienstag nur noch um 3.4 Prozent zur Vorwoche gestiegen. Neuere Daten sind auf Grund von Nachmeldungen noch unsicher, deuten aber auf einen leichten Rückgang der Zahl der gemeldeten Neuinfektionen hin.“
Die Zahl der COVID-19 Fälle auf den Intensivstationen hat das Maximum vom Frühjahr jetzt fast erreicht. Die Zahl steigt derzeit aber stark an, wie die folgenden Grafiken mit Daten des DIVI-Intensivregisters zeigen. Da die dann in den Intensivstationen behandelten Personen bereits heute infiziert sind, kann ein weiterer Anstieg nicht mehr verhindert werden. Ein sofortiges Sinken der täglichen Fallzahlen in den älteren Risikogruppen würde erst später einen Rückgang der Fallzahlen auf den Intensivstationen bedeuten.

Downloads:Als PNG.
Einen besseren Eindruck von der aktuell beschleunigten Dynamik bekommt man – wie immer bei exponentiellem Wachstum –, wenn man auf das prozentuale Wachstum schaut. In der folgenden Grafik ist das prozentuale Wachstum der mit COVID-19 Fällen belegten Intensivbetten im Vergleich zur Vorwoche abgetragen. Zusätzlich ist auch das um eine Woche verschobene Wachstum der gemeldeten Fallzahlen der Altersgruppen ab 60 Jahren dargestellt. Da gemeldete Fälle in der Regel erst nach einigen Tagen intensivmedizinische Behandlung benötigen, sofern sie diese denn benötigen, sind durch diese Verschiebung die Wachstumsraten besser vergleichbar.
Die Wachstumsrate der mit COVID-19 Fällen belegten Betten hat sich in der vergangenen Woche auf hohem Niveau stabilisiert. Selbst bei einer niedrigeren Wachstumsrate würden die Intensivstationen in Deutschland in den nächsten Wochen eine steigende Zahl von Erkrankten versorgen.
Auf Grund des exponentiellen Wachstums und des im Verlauf der Erkrankung späten Zeitpunkts der Hospitalisierung wäre die Zahl der noch freien Betten kein zuverlässiger Indikator für die Steuerung der Pandemie. Bei einer Verhaltensänderung in den Infektionszahlen würden die Zahl der Personen auf der Intensivstation (ITS) noch zwei bis drei Wochen weiterhin exponentiell steigen. Für ein Warnsystem müsste also unter Einbeziehung des Wachstums der gemeldeten Fälle in den Risikogruppen berechnet werden, ob die Bettenkapazität der ITS in drei Wochen noch ausreichend ist.

Downloads:Als PNG.
Die Grafik zeigt die gemeldeten Fallzahlen einmal für Personen unter 50 Jahren und einmal ab 50 Jahren. Seit dem Spätsommer ist zu sehen, dass die Fallzahlen in den unteren Altersgruppen zuerst steigen. Weiterhin steigen die Fallzahlen in den Altersgruppen ab 50 Jahren deutlich, was einen verzögerten Anstieg der Fälle auf den Intensivstationen erwarten lässt.

Downloads:Als PNG.
Insbesondere die Daten der zuletzt betrachteten Woche können noch unvollständig sein und Nachmeldungen die Werte verändern.
Die erste Grafik zeigt die gemeldeten Fallzahlen pro 100 000 Personen in den Altersgruppen nach Kalenderwoche. Für einen Vergleich der Wachstumsdynamik in den Altersgruppen bietet sich zusätzlich ein Blick auf das prozentuale Wachstum in den Gruppen an. Setzt man die Werte für die 28. Kalenderwoche (06.07.2020 bis 12.07.2020) als 100 Prozent an, kann man die relative Veränderung zu dieser Kalenderwoche in den Altersgruppen vergleichen. Die 28. Kalenderwoche wurde dabei gewählt, da in dieser und den folgenden Wochen die Zahl der gemeldeten Fälle in Deutschland gering war und in der Verteilung der Fälle der starke Anstieg bei den jüngeren Altersklassen noch nicht zu beobachten war.
Aktuell steigen die gemeldeten Fälle pro 100 000 Personen in allen Altersgruppen an. Die älteren Altersklassen weisen weiterhin deutlich niedrigere Fallzahlen pro 100 000 Personen auf, relativ gibt es hier aber weiterhin starke Anstiege. Inzwischen liegt das prozentuale Wachstum allen Altersgruppen jenseits der 50 Jahre höher als in den unteren Altersgruppen.

Downloads:Als PNG.

Downloads:Als PNG.
Die Grafik zeigt für jeden Tag das Wachstum der geglätteten Fallzahlen im Vergleich zur Vorwoche. Das Wachstum verlangsamt sich zur Zeit stark, ist aber weiterhin deutlich positiv. Laut Situationsbericht vom 04.11. liegt der Anteil der positiven PCR-Tests an allen Test inzwischen bei über sieben Prozent. Dies kann bedeuten, dass auf Grund der begrenzten Testkapazitäten zunehmend Fälle nicht getestet und damit übersehen werden. Unter dieser Annahme läge das wirkliche Wachstum der Fallzahlen höher.

Downloads:Als PNG.
Da die Zahl der neu bestätigten Infektionsfälle (gestrichelte Linie) im Wochenrhythmus schwankt, wird an dieser Stelle auch ein Mittelwert der jeweils vergangenen sieben Tage angegeben (blaue Linie). Da die vergangenen sieben Tage betrachtet werden, läuft dieser Wert den Meldezahlen immer etwas nach. Weiterhin steigen die täglich gemeldeten Fallzahlen an.

Downloads:Als PNG.
Die Fallzahlen pro 100 000 Personen steigen in allen Bundesländern.

Downloads:Als PNG.
Für die Bewertung der aktuellen Situation ist die Einschätzung wichtig, ob sich das Infektionsgeschehen gleichmäßig über Deutschland verteilt oder ob es einzelne Hotspots und lokale Ausbrüche gibt. Auch wenn die Meldedaten nur ein unzureichendes Bild über das Infektionsgeschehen bieten, können sie daraufhin analysiert werden.
Ein bekanntes Maß für Ungleichheit ist der sogenannte Gini-Koeffizient, eine Zahl zwischen Null und Eins. Nehmen wir etwa die Vermögensverteilung in einem Land. Der Gini-Koeffizient nimmt den Wert Eins an, wenn einer allein alles hat und Null, wenn alle gleich viel besitzen.
Angewendet auf die tägliche Zahl der Neuinfektionen in den Kreisen würde allerdings schon allein durch die unterschiedliche Größe der Kreise eine Ungleichheit entstehen und vorgetäuscht. Aus diesem Grund wird die Ungleichheit im Infektionsgeschehen hier auf Basis der Maßzahl „Anzahl der Fälle pro 100 000 Personen in den vergangenen sieben Tagen“ berechnet.
Ende Februar war die Ungleichheit bei den gemeldeten Fällen noch sehr groß, fiel dann aber mit steigender Fallzahl ab, da sich das Virus über Deutschland verteilte. Auch in den Hochzeiten waren die gemeldeten Fälle pro 100 000 Personen nicht gleichmäßig verteilt, der Gini-Koeffizient fiel nie unter 0,35.

Downloads:Als PNG.
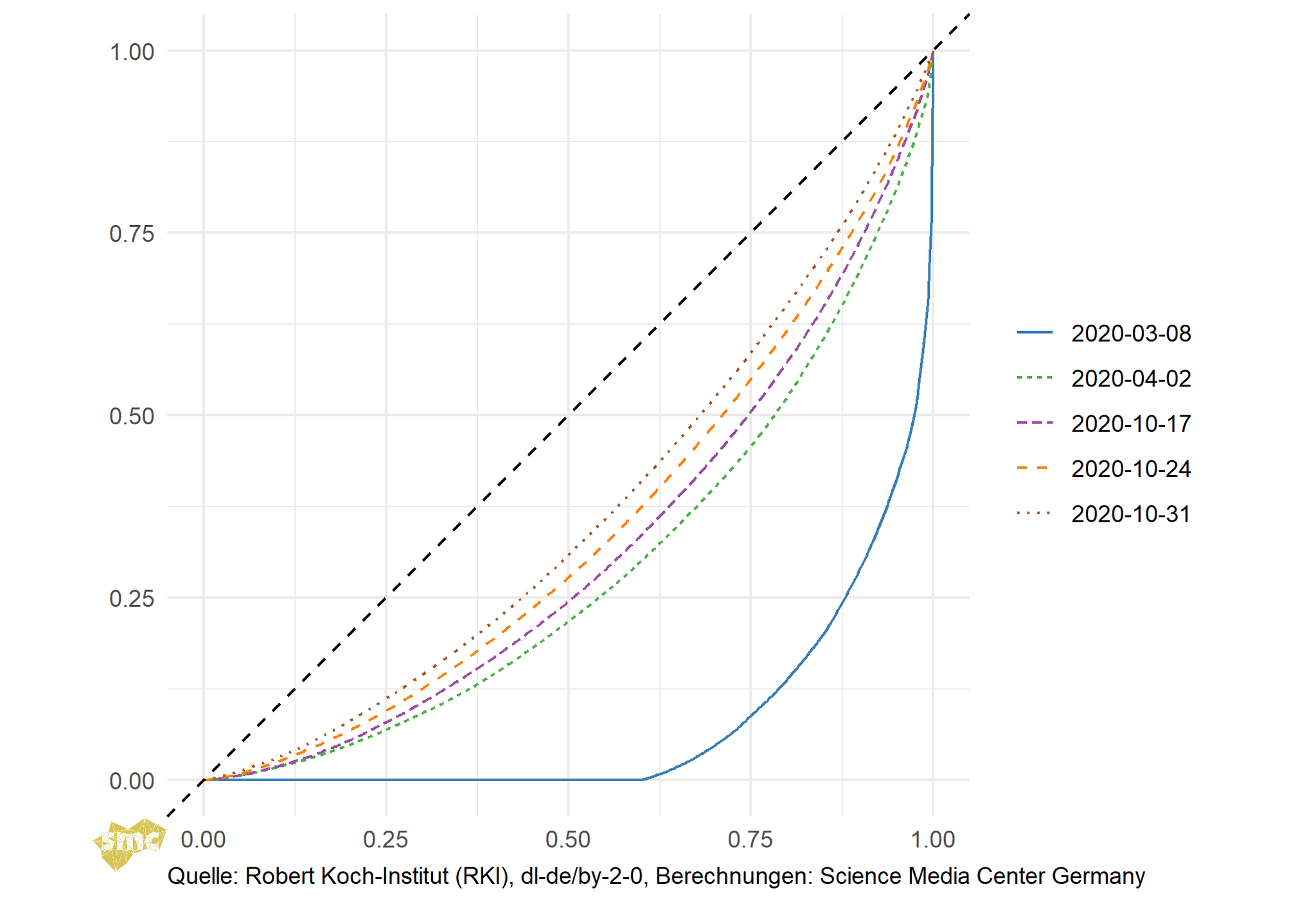
Neben der zeitlichen Betrachtung ist als Querschnitt auch eine Betrachtung der Verteilung in den Landkreisen zu einem bestimmten Zeitpunkt möglich. Die sogenannte Lorenzkurve zeigt, wie viel Prozent der Landkreise (X-Achse) wie viel Prozent der pro Landkreis aufsummierten Fälle pro 100 000 Personen in den vergangenen sieben Tagen ausmachen. Dabei ist wichtig, dass es sich um diese relative Maßzahl handelt und nicht um die absolute, direkte Zahl der Infektionsfälle! München geht in diese Berechnung mit dem gleichen Gewicht ein wie Zweibrücken.
Je näher eine Lorenzkurve an der Diagonalen liegt, desto gleichmäßiger ist die Maßzahl verteilt, eine Kurve, die weit davon entfernt ist, zeugt von einer ungleichen Verteilung.
Betrachtet werden verschiedene Zeitpunkte:

Downloads:Als PNG.
Die Tatsache, dass die Kreise in Deutschland sehr unterschiedliche Einwohnerzahlen haben, macht die Vergleichbarkeit schwer. Relative Maßzahlen können bei kleinen Kreisen dazu führen, dass Zufallsschwankungen großen Einfluss haben, große Kreise haben bei gleicher relativer Anzahl viel mehr Fälle, sodass sie bei absoluten Maßzahlen eher auffallen.
Die folgenden beiden Tabellen enthalten vier verschiedene Maßzahlen. Für den 03.11.2020 werden jeweils die für sieben Tage geglätteten Fallzahlen pro Tag und die Anzahl der bestätigten Fälle pro 100 000 Personen in den vergangenen sieben Tagen angegeben. Darüber hinaus wird jeweils die Differenz der Maßzahl zu dem Wert vom 27.10.2020 angegeben, um eine Veränderung zur Vorwoche zu betrachten.
Die erste Tabelle zeigt die zehn Kreise mit den höchsten Differenzen der Fallzahlen zur Vorwoche, in der zweiten Tabelle werden die Kreise mit den höchsten Differenzen der Fallzahlen pro 100 000 Personen angegeben. Während auf Grund der absoluten Maßzahl in der ersten Tabelle eher große Kreise enthalten sind, werden in der zweiten Tabelle tendenziell kleinere Kreise aufgezählt. Beide Tabellen geben keine Aussage darüber, ob hier steigende Fallzahlen im gesamten Kreis oder nur in einigen Einrichtungen vorliegen.
| Landkreis | Differenz Fälle pro Tag | Fallzahlen pro Tag | Differenz pro 100 000 Personen | Fälle pro 100 000 Personen |
|---|---|---|---|---|
| Region Hannover | 88.9 | 205.0 | 53.7 | 124.0 |
| SK München | 79.1 | 352.6 | 37.3 | 166.3 |
| LK Bautzen | 70.3 | 129.1 | 164.2 | 301.6 |
| SK Augsburg | 68.1 | 144.3 | 160.8 | 340.5 |
| SK Bremen | 63.6 | 193.0 | 78.4 | 238.0 |
| LK Mettmann | 56.0 | 139.6 | 80.7 | 201.2 |
| SK Duisburg | 55.7 | 201.0 | 78.2 | 282.1 |
| SK Essen | 50.6 | 156.0 | 60.8 | 187.4 |
| LK Recklinghausen | 46.9 | 172.7 | 53.4 | 196.9 |
| LK Unna | 45.6 | 116.4 | 80.8 | 206.4 |
| Landkreis | Differenz Fälle pro Tag | Fallzahlen pro Tag | Differenz pro 100 000 Personen | Fälle pro 100 000 Personen |
|---|---|---|---|---|
| LK Bautzen | 70.3 | 129.1 | 164.2 | 301.6 |
| SK Augsburg | 68.1 | 144.3 | 160.8 | 340.5 |
| LK Dachau | 28.6 | 48.3 | 129.1 | 218.2 |
| LK Günzburg | 22.4 | 48.6 | 123.6 | 267.7 |
| SK Mülheim a.d.Ruhr | 29.9 | 55.7 | 122.5 | 228.6 |
| LK Lindau | 13.9 | 24.4 | 118.3 | 208.6 |
| LK Garmisch-Partenkirchen | 14.0 | 21.9 | 110.8 | 173.0 |
| SK Herne | 24.1 | 66.3 | 108.0 | 296.6 |
| LK Germersheim | 19.7 | 34.3 | 106.9 | 186.0 |
| LK Kusel | 10.6 | 16.6 | 105.4 | 165.2 |
Diesem Report liegen die Daten des Robert Koch-Instituts (RKI) zu Grunde, die im esri COVID-19 GeoHub zur Verfügung gestellt werden. Da ein Teil der Daten erst Tage nach dem offiziellen Meldedatum vom RKI erfasst werden, können sich diese auch nachträglich ändern. Insbesondere die jüngsten Daten unterliegen in der Regel noch starken Veränderungen und werden in diesem Report deswegen grau hinterlegt. Der Datensatz ist nach den Landkreisen und kreisfreien Städten, Berlin zusätzlich in die Bezirke aufgeteilt. Die Zahl der nicht diagnostizierten Fälle ist unbekannt und daher nicht enthalten.
Weitere Datenquellen sind die SurvStat-Datenbank des RKI und das DIVI-Intensivregister. Bevölkerungsdaten stammen aus der Genesis-Datenbank des statistischen Bundesamts beziehungsweise des Landesamts Berlin-Brandenburg.
Seit Beginn des Jahres 2020 und verstärkt in Zeiten der Corona-Pandemie verfolgt und bewertet die Redaktion und das SMC Lab täglich alle zugänglichen Daten und Meldezahlen zu COVID-19. Doch Zahlen, Fakten und Grafiken reichen für sich allein nicht aus, das komplexe Geschehen angemessen zu beschreiben und zu verstehen, was relevant ist.
Für informierte Diskussionen hatte das SMC Lab, seine Programmierer, Software-Experten und unser Statistiker bereits zu Jahresbeginn Tools zur Verfügung gestellt, damit die Redaktion interaktiv Daten zu COVID-19 verfolgen, diese visuell leicht erfassbar darzustellen und um wichtige Maßzahlen in Zeitreihen beobachten zu können - für Deutschland, die Bundesländer, die Kreise und kreisfreien Städte sowie International.
Diese Tools stellen wir nun schrittweise in interaktiven Apps zur Verfügung, damit Nutzerinnen und Nutzer dort Daten anschauen und downloaden können, die für Sie relevant sind.
Die Meldezahlen des Robert Koch-Instituts (RKI) zur Corona-Epidemie in Deutschland finden Sie unter diesem Link.
Die internationalen Meldezahlen der Weltgesundheitsorganisation WHO finden Sie unter diesem Link.
Wenn Sie Fragen zu diesen Daten haben oder Auswertungen für weitere Länder erhalten wollen, das SMC Lab kann Auswertungen erzeugen.
Volker Stollorz, Redaktionsleiter
Heinz Greuling, Leiter Innovation Digitale Medien
Meik Bittkowski, Leiter Softwareentwicklung und Datenwissenschaft
Lars Koppers, Gastwissenschaftler am SMC Lab
Telefon: +49 221 8888 25-0
E-Mail: redaktion@sciencemediacenter.de