Medizin & Lebenswissenschaften

Data & Facts

4. Juni 2021

SMC Corona Report

Dieser wöchentliche Report des Science Media Center Germany (SMC) fasst das aktuelle Corona-Geschehen anhand relevanter Kennzahlen zusammen und bietet neue Blickwinkel auf die verfügbaren Daten.

Das SMC verschafft Ihnen damit einen raschen Überblick über den Verlauf der gegenwärtigen Pandemie in Deutschland. Wir liefern nicht nur die nackten Zahlen, sondern ordnen die Statistiken und ihre zeitliche Entwicklung auch ein. So können Sie mit einem Blick die sich dynamisch verändernde aktuelle Situation erfassen.

Überblick

  • Die aktuelle Lage
  • EXTRA: Vergleich der Situation zwischen Vereinigtem Königreich und Deutschland
  • Der Fortschritt der Impfungen
  • Fallzahlen in Deutschland und den Bundesländern
  • Fallzahlen auf den Intensivstationen
  • Fallzahlen in den Altersgruppen
  • Fälle nach Meldedatum
  • Die Verteilung der Infektionsfälle auf die Kreise
  • Auffällige Kreise
  • Die Datenbasis
  • Corona Zeitreihen – die SMC Apps

Die aktuelle Lage

  • Weiterhin kein Anstieg der Varianten-Inzidenz von B.1.617.2.
  • Inzidenzen durch Feiertage weiterhin unsicher.
  • Entspannung beim Bedarf an Erstimpfungen im Laufe des Juni absehbar.

Mit dem gestrigen Feiertag in einigen Bundesländern fällt aktuell die Inzidenz wieder niedriger aus als realistisch zu erwarten ist. Da erfahrungsgemäß auch am Brückentag weniger gemeldet wird, kann mit zuverlässigeren Inzidenzen erst übernächste Woche wieder gerechnet werden. Der Trend normalisiert sich sogar nochmal eine Woche später erst.

Auch im aktuellen Varianten-Bericht des RKI ist kein Anstieg des Anteils der Variante B.1.617.2 verzeichnet. In Kalenderwoche 20 ging nicht nur die Varianten-Inzidenz, sondern auch der Anteil zurück. Da es sich hier um sehr kleine Werte handelt, sind aber auch zufällige Schwankungen zu erwarten.

Werden die Vektorimpfstoffe so geliefert und genutzt, wie es aktuell geplant ist, kann in der Woche vom 28.06. eine Gesamt-Impfquote von etwa 65 Prozent (also inklusive des Bevölkerungsteils, für die noch kein Impfstoff zugelassen ist) erreicht werden. Bei einer angenommenen Impfbereitschaft von 70 Prozent hätte dann rechnerisch jede Person mit Impfwunsch mindestens eine Erstimpfung. Mit eingerechnet sind dabei auch Jugendliche zwischen 12 und 15 Jahren.

Vergleich der Situation zwischen Vereinigtem Königreich und Deuschland

Vergleicht man die Inzidenzen in Vereinigtem Königreich und Deutschland, so sieht man beide Länder auf einem ähnlichen Niveau. Nach den Daten der WHO, die für Deutschland aufgrund einer anderen Aggregation der Daten von den Werten des RKI abweichen, hat Deutschland eine Inzidenz von 36,3, während das Vereinigte Königreich bei 36,2 liegt. Trotzdem unterscheiden sich beide Länder grundsätzlich in ihrer aktuellen Situation, da die Verbreitung der Variante B.1.617.2 auf sehr unterschiedlichem Niveau liegt. Nach den Daten des Sanger Instituts lag der Anteil dieser Variante am 22.05. bereits bei 57,9 Prozent, während das RKI für Deutschland einen Anteil von 2,1 Prozent für die vergleichbare 20. Kalenderwoche angibt.

Während in Deutschland die Inzidenz der Variante zuletzt sogar leicht zurückgegangen ist, ist sie im Vereinigten Königreich inzwischen dominant und sorgt dort für wöchentliche Wachstumsraten von 30 bis 40 Prozent. Bei einem ähnlichen Verlauf in Deutschland, der aktuell noch nicht abzusehen ist, würde es noch mehrere Wochen dauern, bis wir eine vergleichbare Varianteninzidenz in Deutschland hätten. Dabei kann der prognostizierte Impffortschritt Anfang Juli mit dem aktuellen Stand im Vereinigten Königreich verglichen werden. Sollte in den kommenden Wochen kein starker Anstieg der Variante in Deutschland verzeichnet weren, könnte ein späteres Verbreiten der Variante sogar auf eine stärker geimpfte Bevölkerung treffen als dies aktuell im Vereinigten Königreich der Fall ist.

Der Fortschritt der Impfungen

Da immer mehr Impfstoff verfügbar ist, kann sich auch das Impftempo beschleunigen. Die Grafik zeigt den über sieben Tage geglätteten Verlauf der täglichen Impfungen insgesamt und nach Erst- beziehungsweise Zweitimpfung getrennt. Durch die Feiertage im Mai und Juni schwanken die gemittelten Werte für die Impfungen noch.

Downloads:Als PNG.

  • Der Impfstoff von BioNTech/Pfizer steht im Juni mit im Schnitt 5 Millionen Dosen pro Woche zur Verfügung.
  • Bei Moderna stehen im Mai und Juni etwa eine halbe Millionen Dosen pro Woche zur Verfügung.
  • Bei AstraZeneca sind keine weiteren Lieferungen angekündigt, die große Lieferung, die für diese Woche angekündigt ist, dürfte den Bedarf aber weiterhin decken.
  • Johnson & Johnson hat in der ersten Juni-Hälfte weitere Lieferungen angekündigt, die aber insgesamt unterhalb von einer Millionen Dosen bleibt. Gelieferter Impfstoff wird inzwischen zeinah verimpft.

Downloads:Als PNG.

Eine Prognose der Impfquote anhand der angekündigten Liefermenge ist nicht ganz einfach aufzustellen: Je nach Impfstoff variiert die Zahl der Wochen bis zur Zweitimpfung. In der Vergangenheit wurden andere Intervalle empfohlen und in der Praxis wird schon einmal etwas davon abgewichen. Zusätzlich sind für AstraZeneca und Johnson & Johnson noch keine vollständigen Liefermengen bis Ende Juni bekannt.

Für diese Prognose wurden verschiedene vereinfachende Annahmen getroffen:

  • Die vorgeschlagenen Änderungen der Impfintervalle beim AstraZeneca-Impfstoff werden nicht beachtet.
  • Der Abstand zwischen den beiden Dosen wurde für mRNA-Impfstoffe auf 6 Wochen gesetzt, für den Vektorimpfstoff AstraZeneca auf 12 Wochen.
  • Da nach dieser Rechnung mehr Zweitimpfungen ausstehen müssten als zur Zeit offen sind, wurden die Zahlen der benötigten Zweitimpfungen in den kommenden Wochen gleichmäßig gesenkt. Diese Annahme ist konservativ, da es plausibel ist, dass besonders bei den frühen Daten weniger Zweitimpfungen benötigt werden (Impfungen mit einem etwas kürzeren als dem empfohlenen Zeitraum). Der Impffortschritt könnte also etwas schneller sein.
  • Betrachtet wird nur der Zeitraum bis Anfang der aktuellen Kalenderwoche.
  • Noch vorrätiger Impfstoff wird nicht mit eingerechnet, in der Annahme, dass immer etwas Impfstoff unverimpft sein wird.

Die beiden schwarzen Linien in der Grafik markieren die erreichbaren Impfquoten, wenn alle Personen ab 12 Jahren eine Impfbereitschaft von 80 Prozent beziehungsweise 70 Prozent zeigen. In Erwartung der Zulassung des BioNTech-Impfstoffs ab 12 Jahren wurde dies als die relevante Altersgrenze für das zweite Quartal gewählt.

Die Prognose wurde für AstraZeneca wieder auf die für die Impfzentren und die Arztpraxen angekündigten Mengen umgestellt, da die Gesamtliefermenge voraussichtlich nicht zeitnah verimpft wird. Da für den Juli noch keine Lieferprognosen für BioNTech vorliegen, kann für diesen Zeitraum noch keine aussagekräftige Prognose gemacht werden. Eine Entspannung beim Bedarf an Erstimpfungen im Laufe des Juni ist inzwischen absehbar, wenn der Vektorimpfstoff weiterhin genutzt wird.

Downloads:Als PNG.

Fallzahlen in Deutschland und den Bundesländern

Die Grafik zeigt die Inzidenzen einmal für alle Altersgruppen und einmal ab 60 Jahren. Die Inzidenz sinkt aktuell weiterhin. Durch die Feiertage sinken die gemeldeten Werte aber stärker als realistisch.

Downloads:Als PNG.

Die Grafik zeigt für jeden Tag das prozentuale Wachstum der geglätteten Fallzahlen im Vergleich zur Vorwoche. Dabei werden einmal alle gemeldeten Fälle berücksichtigt und einmal nur Fälle mit einem Alter von mindestens 60 Jahren. Das Wachstum ist negativ. Die Schwankungen im Wachstum sind den Feiertagen geschuldet.

Downloads:Als PNG.

Im Folgenden wird das Wachstum der Inzidenz vom 30.05.2021 im Vergleich zur Vorwoche betrachtet. Die Inzidenzen sinken in allen Bundesländern.

Downloads:Als PNG.

Downloads:Als PNG.

Fallzahlen auf den Intensivstationen

Die Zahl der COVID-19-Fälle auf den Intensivstationen sinkt weiterhin. Durch die allgemein sinkenden Inzidenzen ist ein weiteres Sinken zu erwarten.

Downloads:Als PNG.

Einen besseren Eindruck von der aktuell beschleunigten Dynamik bekommt man – wie immer bei exponentiellem Wachstum –, wenn man auf das prozentuale Wachstum schaut. In der folgenden Grafik ist das prozentuale Wachstum der mit COVID-19-Fällen belegten Intensivbetten im Vergleich zur Vorwoche abgetragen. Zusätzlich ist auch das um eine Woche verschobene Wachstum der gemeldeten Fallzahlen der Altersgruppen ab 60 Jahren dargestellt. Da gemeldete Fälle in der Regel erst nach einigen Tagen intensivmedizinisch behandelt werden müssen – sofern sie diese Behandlung benötigen, sind durch diese Verschiebung die Wachstumsraten besser zu vergleichen.

Der Rückgang der Zahl der mit COVID-19-Fällen belegten Betten ist weiterhin hoch.

Downloads:Als PNG.

Fallzahlen in den Altersgruppen

Die Grafik zeigt die Inzidenzen in den Altersgruppen nach Kalenderwoche.

In allen Altersgruppen sinken die Inzidenzen.

Downloads:Als PNG.

Downloads:Als PNG.

Fälle nach Meldedatum

Da die Zahl der neu bestätigten Infektionsfälle (blaue Balken) im Wochenrhythmus schwankt, wird an dieser Stelle auch ein Mittelwert der jeweils vergangenen sieben Tage angegeben (blaue Linie). Da die vergangenen sieben Tage betrachtet werden, läuft dieser Wert den Meldezahlen immer etwas nach.

Downloads:Als PNG.

Die Verteilung der Infektionsfälle auf die Kreise

Für die Bewertung der aktuellen Situation ist die Einschätzung wichtig, ob sich das Infektionsgeschehen gleichmäßig über Deutschland verteilt oder ob es einzelne Hotspots und lokale Ausbrüche gibt. Auch wenn die Meldedaten nur ein unzureichendes Bild über das Infektionsgeschehen bieten, können sie daraufhin analysiert werden.

Ein bekanntes Maß für Ungleichheit ist der sogenannte Gini-Koeffizient, eine Zahl zwischen Null und Eins. Nehmen wir etwa die Vermögensverteilung in einem Land. Der Gini-Koeffizient nimmt den Wert Eins an, wenn einer allein alles hat und Null, wenn alle gleich viel besitzen.

Angewendet auf die tägliche Zahl der Neuinfektionen in den Kreisen würde allerdings schon allein durch die unterschiedliche Größe der Kreise eine Ungleichheit entstehen und Unterschiede vorgetäuscht. Aus diesem Grund wird die Ungleichheit im Infektionsgeschehen hier auf Basis der Inzidenz berechnet.

Ende Februar war die Ungleichheit bei den gemeldeten Fällen noch sehr groß, fiel dann aber mit steigender Fallzahl ab, da sich das Virus über Deutschland verteilte. Auch in den Hochzeiten waren die gemeldeten Inzidenzen nicht gleichmäßig verteilt.

Downloads:Als PNG.

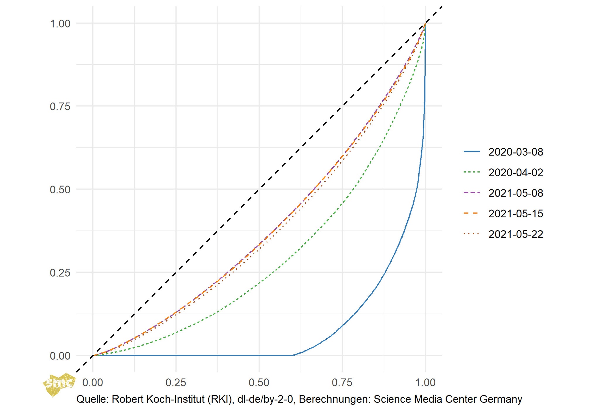
Neben der zeitlichen Betrachtung ist als Querschnitt auch eine Betrachtung der Verteilung in den Landkreisen zu einem bestimmten Zeitpunkt möglich. Die sogenannte Lorenzkurve zeigt, wie viel Prozent der Landkreise (X-Achse) wie viel Prozent der pro Landkreis aufsummierten Inzidenzen ausmachen. Dabei ist wichtig, dass es sich um diese relative Maßzahl handelt und nicht um die absolute, direkte Zahl der Infektionsfälle! München geht in diese Berechnung mit dem gleichen Gewicht ein wie Zweibrücken.

Je näher eine Lorenzkurve an der Diagonalen liegt, desto gleichmäßiger ist die Maßzahl verteilt, eine Kurve, die weit davon entfernt ist, zeugt von einer ungleichen Verteilung.

Betrachtet werden verschiedene Zeitpunkte:

  • Am 8. März wurde die Grenze von 1000 gemeldeten Neuinfektionsfällen in Deutschland überschritten.
  • Am 2. April wurde die größte Zahl an Neuinfektionen gemeldet. Die Verteilung über die Landkreise ist deutlich gleicher geworden, trotzdem gibt es noch regionale Unterschiede. ´

Downloads:Als PNG.

Auffällige Kreise

Die Tatsache, dass die Kreise in Deutschland sehr unterschiedliche Einwohnerzahlen haben, macht die Vergleichbarkeit schwer. Relative Maßzahlen können bei kleinen Kreisen dazu führen, dass Zufallsschwankungen großen Einfluss haben, große Kreise haben bei gleicher relativer Anzahl viel mehr Fälle, sodass sie bei absoluten Maßzahlen eher auffallen.

Die folgenden beiden Tabellen enthalten vier verschiedene Maßzahlen. Für den 1.06.2021 werden jeweils die für sieben Tage geglätteten Fallzahlen pro Tag und die Inzidenz angegeben. Darüber hinaus wird jeweils die Differenz der Maßzahl zu dem Wert vom 25.05.2021 angegeben, um eine Veränderung zur Vorwoche zu betrachten.

Die erste Tabelle zeigt die zehn Kreise mit den höchsten Differenzen der Fallzahlen zur Vorwoche, in der zweiten Tabelle werden die Kreise mit den höchsten Differenzen der Inzidenz zur Vorwoche angegeben. Während auf Grund der absoluten Maßzahl in der ersten Tabelle eher große Kreise enthalten sind, werden in der zweiten Tabelle tendenziell kleinere Kreise aufgezählt. Beide Tabellen geben keine Aussage darüber, ob hier steigende Fallzahlen im gesamten Kreis oder nur in einigen Einrichtungen vorliegen.

LandkreisDifferenz Fälle pro TagFallzahlen pro TagDifferenz InzidenzInzidenz
LK Bergstraße5.919.915.151.4
LK Rheingau-Taunus-Kreis5.919.121.971.6
LK Weilheim-Schongau5.713.629.570.1
SK Baden-Baden4.68.058.0101.5
LK Groß-Gerau4.332.910.983.4
LK Emsland3.715.07.932.1
LK Soest3.716.48.638.1
LK Rastatt3.621.310.864.4
LK Günzburg3.422.918.9126.0
LK Hochsauerlandkreis3.418.99.250.8
LandkreisDifferenz Fälle pro TagFallzahlen pro TagDifferenz InzidenzInzidenz
SK Baden-Baden4.68.058.0101.5
LK Weilheim-Schongau5.713.629.570.1
SK Schweinfurt2.09.026.2117.9
SK Zweibrücken1.13.123.464.3
LK Kitzingen2.910.322.079.0
LK Rheingau-Taunus-Kreis5.919.121.971.6
LK Cochem-Zell1.74.719.653.8
LK Garmisch-Partenkirchen2.46.619.252.0
LK Günzburg3.422.918.9126.0
LK Bitburg-Prüm2.45.417.238.4

Die Datenbasis

Diesem Report liegen die Daten des Robert Koch-Instituts (RKI) zu Grunde, die im esri COVID-19 GeoHub zur Verfügung gestellt werden. Da ein Teil der Daten erst Tage nach dem offiziellen Meldedatum vom RKI erfasst werden, können sich diese auch nachträglich ändern. Insbesondere die jüngsten Daten unterliegen in der Regel noch starken Veränderungen und werden in diesem Report deswegen grau hinterlegt. Der Datensatz ist nach den Landkreisen und kreisfreien Städten, Berlin zusätzlich in die Bezirke aufgeteilt. Die Zahl der nicht diagnostizierten Fälle ist unbekannt und daher nicht enthalten.

Weitere Datenquellen sind die SurvStat-Datenbank des RKI und das DIVI-Intensivregister. Bevölkerungsdaten stammen aus der Genesis-Datenbank des statistischen Bundesamts beziehungsweise des Landesamts Berlin-Brandenburg.

Der in diesem Bericht verwendete Begriff Inzidenz ist allgemein als die Häufigkeit der in einer Zeitspanne neu auftretenden Fälle einer Erkrankung innerhalb einer Population definiert. Hier sind damit immer die in den vergangenen sieben Tagen gemeldeten Fälle pro 100 000 Personen gemeint.

Corona Zeitreihen – die SMC Apps

Seit Beginn des Jahres 2020 und verstärkt in Zeiten der Corona-Pandemie verfolgt und bewertet die Redaktion und das SMC Lab täglich alle zugänglichen Daten und Meldezahlen zu COVID-19. Doch Zahlen, Fakten und Grafiken reichen für sich allein nicht aus, das komplexe Geschehen angemessen zu beschreiben und zu verstehen, was relevant ist.

Für informierte Diskussionen hatte das SMC Lab, seine Programmierer, Software-Experten und unser Statistiker bereits zu Jahresbeginn Tools zur Verfügung gestellt, damit die Redaktion interaktiv Daten zu COVID-19 verfolgen, diese visuell leicht erfassbar darzustellen und um wichtige Maßzahlen in Zeitreihen beobachten zu können - für Deutschland, die Bundesländer, die Kreise und kreisfreien Städte sowie International.

Diese Tools stellen wir nun schrittweise in interaktiven Apps zur Verfügung, damit Nutzerinnen und Nutzer dort Daten anschauen und downloaden können, die für Sie relevant sind.

Die Meldezahlen des Robert Koch-Instituts (RKI) zur Corona-Epidemie in Deutschland finden Sie unter diesem Link.

Die internationalen Meldezahlen der Weltgesundheitsorganisation WHO finden Sie unter diesem Link.

Ihre Ansprechpartner in Redaktion und SMC Lab

Wenn Sie Fragen zu diesen Daten haben oder Auswertungen für weitere Länder erhalten wollen, das SMC Lab kann Auswertungen erzeugen.

Lars Koppers, Gastwissenschaftler am SMC Lab

Heinz Greuling, Leiter Innovation Digitale Medien

Marleen Halbach, Redaktionsleiterin

Telefon: +49 221 8888 25-0
E-Mail: redaktion@sciencemediacenter.de