SMC Corona Report
Dieser wöchentliche Report des Science Media Center Germany (SMC) fasst das aktuelle Corona-Geschehen anhand relevanter Kennzahlen zusammen und bietet neue Blickwinkel auf die verfügbaren Daten.
Das SMC verschafft Ihnen damit einen raschen Überblick über den Verlauf der gegenwärtigen Pandemie in Deutschland. Wir liefern nicht nur die nackten Zahlen, sondern ordnen die Statistiken und ihre zeitliche Entwicklung auch ein. So können Sie mit einem Blick die sich dynamisch verändernde aktuelle Situation erfassen.
Die Inzidenz (Fälle pro 100 000 Personen in den vergangenen sieben Tagen) steht im Mittelpunkt, wenn es darum geht zu entscheiden, welche Maßnahmen aktuell getroffen werden müssen. Und ob diese verschärft oder gelockert werden können.
In der Grafik werden verschiedene theoretische Verläufe bei unterschiedlichem Wachstum gezeigt. Da das aktuelle Negativwachstum langsamer als -5 Prozent ist, würde es mit der aktuellen Entwicklung bis weit in das Frühjahr dauern, bis die Inzidenzgrenze von 50 erreicht ist.
Wenn sich, zum Beispiel über die Feiertage, das Verhalten der Bevölkerung ändert oder im neuen Jahr Maßnahmen zurückgenommen werden, kann das Wachstum auch jederzeit wieder positiv werden. Andersherum kann der Beginn der Impfung der Bevölkerung das Wachstum der Fallzahlen beeinflussen. Dies sollte aber nur geschehen, wenn der Impfstoff auch die Infektion und nicht nur die Erkrankung verhindert. In jedem Fall dürften diese Effekte zu Beginn kaum wahrnehmbar sein, da die Zahl der geimpften Personen noch gering sein wird.
Für das kurzfristige Infektionsgeschehen ist es wichtig zu beachten, dass neben der hohen Impfeffizienz der Impfstoffe auch die Inzidenz eine Rolle spielt. Die Impfeffizienz gibt den Anteil der vermiedenen Infektionen an allen Infektionen an. Gerade in einem kurzen Zeitraum würde sich aber nicht alle Personen anstecken, weshalb die Zahl der verhinderten Infektionen nicht die Zahl der Geimpften multipliziert mit der Impfeffizienz entspricht. Sollten die eingesetzten Impfstoffe allerdings Ansteckungen verhindern, kann eine hohe Impfquote dazu führen, dass die Zahl der täglich auftretenden Fälle reduziert werden kann.

Downloads:Als PNG.
Die Zahl der COVID-19-Fälle auf den Intensivstationen steigt weiter an. Da auch die Fallzahlen in den Risikogruppen ab 60 Jahren noch steigen, ist auch weiter mit einem Anstieg zu rechnen.

Downloads:Als PNG.
Einen besseren Eindruck von der aktuell beschleunigten Dynamik bekommt man – wie immer bei exponentiellem Wachstum –, wenn man auf das prozentuale Wachstum schaut. In der folgenden Grafik ist das prozentuale Wachstum der mit COVID-19-Fällen belegten Intensivbetten im Vergleich zur Vorwoche abgetragen. Zusätzlich ist auch das um eine Woche verschobene Wachstum der gemeldeten Fallzahlen der Altersgruppen ab 60 Jahren dargestellt. Da gemeldete Fälle in der Regel erst nach einigen Tagen intensivmedizinisch behandelt werden müssen, sofern sie diese Behandlung benötigen, sind durch diese Verschiebung die Wachstumsraten besser zu vergleichen.
Die Wachstumsrate der mit COVID-19-Fällen belegten Betten ist in den vergangenen Wochen gefallen. Da die Fallzahlen in den Altersgruppen über 60 Jahren weiterhin langsam wachsen, kann es auch auf den Intensivstationen weiter zu Wachstum kommen.

Downloads:Als PNG.
Die Grafik zeigt die gemeldeten Fallzahlen einmal für Personen unter 50 Jahren und einmal ab 50 Jahren. Seit dem Spätsommer ist zu sehen, dass die Fallzahlen in den unteren Altersgruppen zuerst steigen. Inzwischen werden für die Altersklasse unter 50 Jahren wieder weniger Fälle gemeldet.

Downloads:Als PNG.
Insbesondere die Daten der zuletzt betrachteten Woche können noch unvollständig sein und Nachmeldungen die Werte verändern.
Die Grafik zeigt die gemeldeten Fallzahlen pro 100 000 Personen in den Altersgruppen nach Kalenderwoche.
Bei den Personen ab 80 Jahren steigen die Fallzahlen pro 100 000 Personen weiterhin stark, und zeigen inzwischen die höchste Inzidenz aller Altersklassen auf. In den Altersklassen zwischen 15 und 30 Jahren sinken sie deutlich.

Downloads:Als PNG.
Die Dynamik in den einzelnen Bundesländern ist weiterhin unterschiedlich. Während die Inzidenz in Sachsen noch steigt, deutet sich in Thüringen eine Trendwende ab. In den Bundesländern mit sinkenden Inzidenzen gilt dies oft nicht für die Altersgruppe ab 60 Jahren.

Downloads:Als PNG.
Die Grafik zeigt für jeden Tag das Wachstum der geglätteten Fallzahlen im Vergleich zur Vorwoche. Das Wachstum der vergangenen Woche liegt im einstelligen Bereich unter Null. Laut Situationsbericht vom 02.12. ist der Anteil der positiven PCR-Tests an allen Test mit 9,3 Prozent konstant zur Vorwoche. Die Zahl der durchgeführten Tests bleibt ebenfalls auf dem Niveau der Vorwoche.

Downloads:Als PNG.
Da die Zahl der neu bestätigten Infektionsfälle (gestrichelte Linie) im Wochenrhythmus schwankt, wird an dieser Stelle auch ein Mittelwert der jeweils vergangenen sieben Tage angegeben (blaue Linie). Da die vergangenen sieben Tage betrachtet werden, läuft dieser Wert den Meldezahlen immer etwas nach. Für Deutschland ist ein leichter Rückgang der Fallzahlen zu beobachten, der Trend ist regional sehr unterschiedlich.

Downloads:Als PNG.
Für die Bewertung der aktuellen Situation ist die Einschätzung wichtig, ob sich das Infektionsgeschehen gleichmäßig über Deutschland verteilt oder ob es einzelne Hotspots und lokale Ausbrüche gibt. Auch wenn die Meldedaten nur ein unzureichendes Bild über das Infektionsgeschehen bieten, können sie daraufhin analysiert werden.
Ein bekanntes Maß für Ungleichheit ist der sogenannte Gini-Koeffizient, eine Zahl zwischen Null und Eins. Nehmen wir etwa die Vermögensverteilung in einem Land. Der Gini-Koeffizient nimmt den Wert Eins an, wenn einer allein alles hat und Null, wenn alle gleich viel besitzen.
Angewendet auf die tägliche Zahl der Neuinfektionen in den Kreisen würde allerdings schon allein durch die unterschiedliche Größe der Kreise eine Ungleichheit entstehen und vorgetäuscht. Aus diesem Grund wird die Ungleichheit im Infektionsgeschehen hier auf Basis der Maßzahl „Anzahl der Fälle pro 100 000 Personen in den vergangenen sieben Tagen“ berechnet.
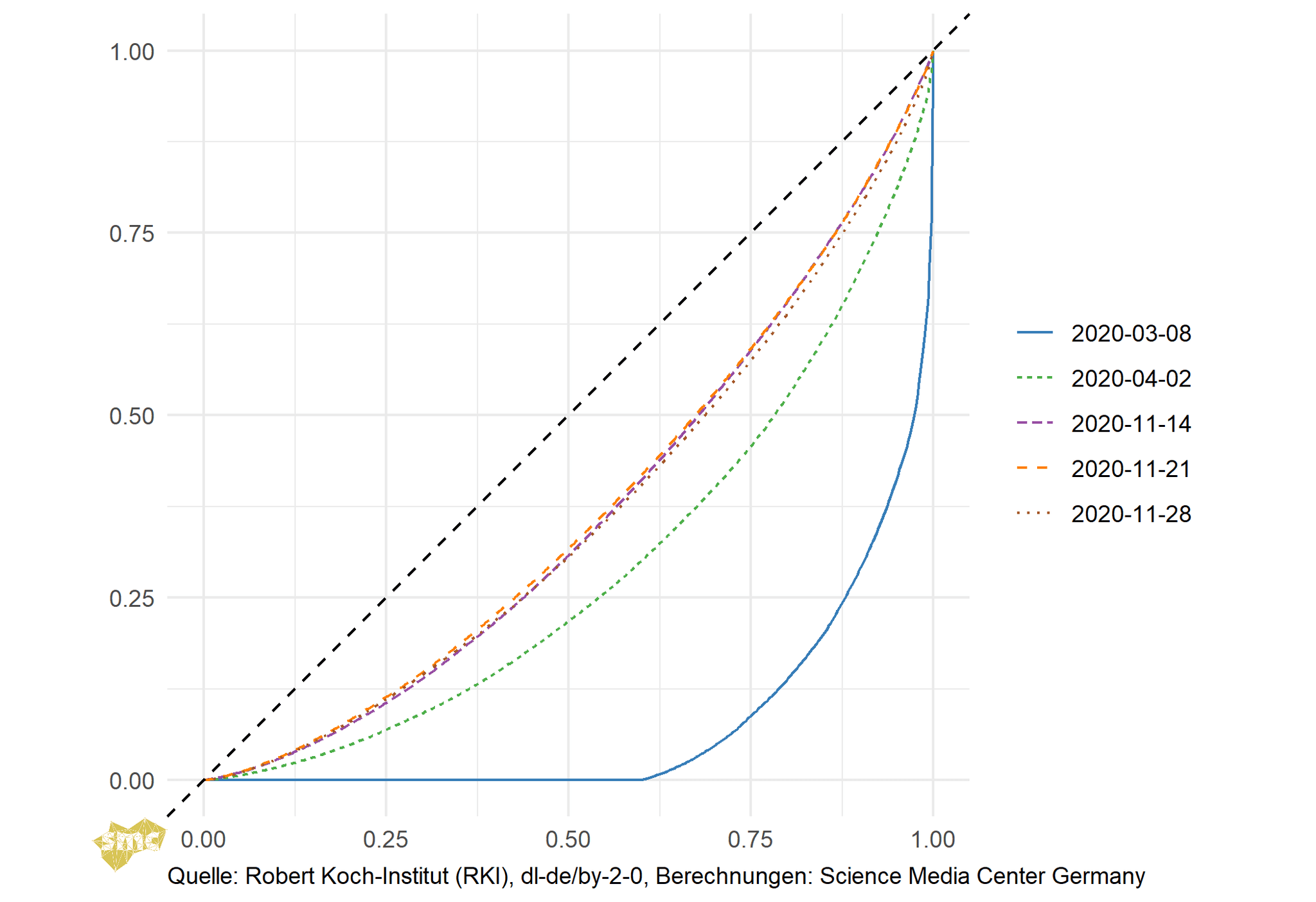
Ende Februar war die Ungleichheit bei den gemeldeten Fällen noch sehr groß, fiel dann aber mit steigender Fallzahl ab, da sich das Virus über Deutschland verteilte. Auch in den Hochzeiten waren die gemeldeten Fälle pro 100 000 Personen nicht gleichmäßig verteilt.

Downloads:Als PNG.
Neben der zeitlichen Betrachtung ist als Querschnitt auch eine Betrachtung der Verteilung in den Landkreisen zu einem bestimmten Zeitpunkt möglich. Die sogenannte Lorenzkurve zeigt, wie viel Prozent der Landkreise (X-Achse) wie viel Prozent der pro Landkreis aufsummierten Fälle pro 100 000 Personen in den vergangenen sieben Tagen ausmachen. Dabei ist wichtig, dass es sich um diese relative Maßzahl handelt und nicht um die absolute, direkte Zahl der Infektionsfälle! München geht in diese Berechnung mit dem gleichen Gewicht ein wie Zweibrücken.
Je näher eine Lorenzkurve an der Diagonalen liegt, desto gleichmäßiger ist die Maßzahl verteilt, eine Kurve, die weit davon entfernt ist, zeugt von einer ungleichen Verteilung.
Betrachtet werden verschiedene Zeitpunkte:

Downloads:Als PNG.
Die Tatsache, dass die Kreise in Deutschland sehr unterschiedliche Einwohnerzahlen haben, macht die Vergleichbarkeit schwer. Relative Maßzahlen können bei kleinen Kreisen dazu führen, dass Zufallsschwankungen großen Einfluss haben, große Kreise haben bei gleicher relativer Anzahl viel mehr Fälle, sodass sie bei absoluten Maßzahlen eher auffallen.
Die folgenden beiden Tabellen enthalten vier verschiedene Maßzahlen. Für den 30.11.2020 werden jeweils die für sieben Tage geglätteten Fallzahlen pro Tag und die Anzahl der bestätigten Fälle pro 100 000 Personen in den vergangenen sieben Tagen angegeben. Darüber hinaus wird jeweils die Differenz der Maßzahl zu dem Wert vom 23.11.2020 angegeben, um eine Veränderung zur Vorwoche zu betrachten.
Die erste Tabelle zeigt die zehn Kreise mit den höchsten Differenzen der Fallzahlen zur Vorwoche, in der zweiten Tabelle werden die Kreise mit den höchsten Differenzen der Fallzahlen pro 100 000 Personen angegeben. Während auf Grund der absoluten Maßzahl in der ersten Tabelle eher große Kreise enthalten sind, werden in der zweiten Tabelle tendenziell kleinere Kreise aufgezählt. Beide Tabellen geben keine Aussage darüber, ob hier steigende Fallzahlen im gesamten Kreis oder nur in einigen Einrichtungen vorliegen.
| Landkreis | Differenz Fälle pro Tag | Fallzahlen pro Tag | Differenz pro 100 000 Personen | Fälle pro 100 000 Personen |
|---|---|---|---|---|
| SK Nürnberg | 61.6 | 241.6 | 83.1 | 326.2 |
| SK Dresden | 57.1 | 194.0 | 71.8 | 243.9 |
| LK Ostalbkreis | 54.3 | 108.6 | 121.0 | 242.0 |
| LK Meißen | 53.0 | 95.7 | 153.5 | 277.2 |
| LK Erzgebirgskreis | 39.6 | 211.7 | 82.7 | 442.5 |
| LK Zwickau | 38.1 | 190.0 | 84.7 | 422.2 |
| LK Görlitz | 36.6 | 150.6 | 101.3 | 417.1 |
| LK Bautzen | 33.1 | 178.7 | 77.4 | 417.3 |
| LK Burgenlandkreis | 26.1 | 59.3 | 102.3 | 232.0 |
| SK Leipzig | 24.6 | 109.3 | 29.0 | 129.0 |
| Landkreis | Differenz Fälle pro Tag | Fallzahlen pro Tag | Differenz pro 100 000 Personen | Fälle pro 100 000 Personen |
|---|---|---|---|---|
| SK Schwabach | 11.1 | 20.9 | 190.4 | 356.3 |
| SK Passau | 11.7 | 41.9 | 155.3 | 554.9 |
| LK Meißen | 53.0 | 95.7 | 153.5 | 277.2 |
| LK Regen | 15.7 | 43.3 | 142.1 | 391.4 |
| LK Ostalbkreis | 54.3 | 108.6 | 121.0 | 242.0 |
| LK Erding | 21.4 | 59.0 | 108.6 | 298.9 |
| LK Burgenlandkreis | 26.1 | 59.3 | 102.3 | 232.0 |
| LK Görlitz | 36.6 | 150.6 | 101.3 | 417.1 |
| LK Sonneberg | 7.7 | 27.0 | 93.6 | 327.5 |
| LK Oberspreewald-Lausitz | 14.4 | 50.0 | 92.3 | 320.0 |
Diesem Report liegen die Daten des Robert Koch-Instituts (RKI) zu Grunde, die im esri COVID-19 GeoHub zur Verfügung gestellt werden. Da ein Teil der Daten erst Tage nach dem offiziellen Meldedatum vom RKI erfasst werden, können sich diese auch nachträglich ändern. Insbesondere die jüngsten Daten unterliegen in der Regel noch starken Veränderungen und werden in diesem Report deswegen grau hinterlegt. Der Datensatz ist nach den Landkreisen und kreisfreien Städten, Berlin zusätzlich in die Bezirke aufgeteilt. Die Zahl der nicht diagnostizierten Fälle ist unbekannt und daher nicht enthalten.
Weitere Datenquellen sind die SurvStat-Datenbank des RKI und das DIVI-Intensivregister. Bevölkerungsdaten stammen aus der Genesis-Datenbank des statistischen Bundesamts beziehungsweise des Landesamts Berlin-Brandenburg.
Seit Beginn des Jahres 2020 und verstärkt in Zeiten der Corona-Pandemie verfolgt und bewertet die Redaktion und das SMC Lab täglich alle zugänglichen Daten und Meldezahlen zu COVID-19. Doch Zahlen, Fakten und Grafiken reichen für sich allein nicht aus, das komplexe Geschehen angemessen zu beschreiben und zu verstehen, was relevant ist.
Für informierte Diskussionen hatte das SMC Lab, seine Programmierer, Software-Experten und unser Statistiker bereits zu Jahresbeginn Tools zur Verfügung gestellt, damit die Redaktion interaktiv Daten zu COVID-19 verfolgen, diese visuell leicht erfassbar darzustellen und um wichtige Maßzahlen in Zeitreihen beobachten zu können - für Deutschland, die Bundesländer, die Kreise und kreisfreien Städte sowie International.
Diese Tools stellen wir nun schrittweise in interaktiven Apps zur Verfügung, damit Nutzerinnen und Nutzer dort Daten anschauen und downloaden können, die für Sie relevant sind.
Die Meldezahlen des Robert Koch-Instituts (RKI) zur Corona-Epidemie in Deutschland finden Sie unter diesem Link.
Die internationalen Meldezahlen der Weltgesundheitsorganisation WHO finden Sie unter diesem Link.
Wenn Sie Fragen zu diesen Daten haben oder Auswertungen für weitere Länder erhalten wollen, das SMC Lab kann Auswertungen erzeugen.
Volker Stollorz, Redaktionsleiter
Heinz Greuling, Leiter Innovation Digitale Medien
Meik Bittkowski, Leiter Softwareentwicklung und Datenwissenschaft
Lars Koppers, Gastwissenschaftler am SMC Lab
Telefon: +49 221 8888 25-0
E-Mail: redaktion@sciencemediacenter.de