SMC Corona Report
Dieser wöchentliche Report des Science Media Center Germany (SMC) fasst das aktuelle Corona-Geschehen anhand relevanter Kennzahlen zusammen und bietet neue Blickwinkel auf die verfügbaren Daten.
Das SMC verschafft Ihnen damit einen raschen Überblick über den Verlauf der gegenwärtigen Pandemie in Deutschland. Wir liefern nicht nur die nackten Zahlen, sondern ordnen die Statistiken und ihre zeitliche Entwicklung auch ein. So können Sie mit einem Blick die sich dynamisch verändernde aktuelle Situation erfassen.
COVID-19 wird in der öffentlichen Diskussion häufig in seiner Schwere mit anderen Erkrankungen, wie zum Beispiel der Influenza-Grippe, verglichen. Dabei spielt insbesondere die Infection Fatality Rate (IFR), also der Anteil der Verstorbenen unter allen Infizierten, eine wichtige Rolle. Schon vermeintlich kleine Unterschiede in der IFR können bei hohen Infektionsraten große Unterschiede machen. Eine IFR von 0.05 Prozent würde zum Beispiel bei einer Million Infizierten im Mittel zu 500 Toten führen, bei einer IFR von 0.7 Prozent wären es dann schon 7000 Tote, das 14-fache. Wenn also pro Tag in Deutschland 10 000 Infektionen gemeldet würden, dann wären auf der Basis einer IFR von 0,7 Prozent mit einer gewissen Zeitverzögerung pro Tag 70 COVID-19 Sterbefalle zu erwarten, in zehn Tagen also 700, in 100 Tagen 7000.
Neben der IFR hängt die Zahl der Verstorbenen bei verschiedenen Erkrankungen zusätzlich davon ab, wie viele Personen erkranken. Bei einer etablierten Krankheit kann in der Bevölkerung eine Grundimmunisierung vorliegen, so dass ein deutlich niedriger Teil erkrankt als bei einer Erkrankung, bei der keine Immunität besteht. Betrachtet man zusätzlich nur ein Zeitintervall (zum Beispiel ein Jahr), ist auch die Infektiosität ein wichtiger Faktor.
Für die deutsche Bevölkerung von ungefähr 83 Millionen würde zum Beispiel Krankheit A mit einer IFR von 0.2 Prozent, die in einem Jahr 30 Prozent der Bevölkerung infiziert, für 49 800 Sterbefälle verantwortlich sein. Eine Krankheit B mit einer geringeren IFR von 0.1 Prozent kann aber für 58 100 und damit mehr Todesfälle verantwortlich sein, wenn diese im gleichen Zeitraum 70 Prozent der Bevölkerung ansteckt.
Die folgende Grafik zeigt die Zahl der Toten für die IFR 0.1 Prozent und 0.7 Prozent für einen unterschiedlichen Anteil an Infizierten in der deutschen Bevölkerung. Vergleicht man diese Raten für gleiche Bevölkerungsanteile, ergibt die IFR von 0.7 Prozent die siebenfache Anzahl an Sterbefällen. Nimmt man aber für beide Raten unterschiedliche Anteile von Infizierten in der Bevölkerung an, kann dieser Unterschied in der Praxis deutlich höher werden. Nimmt man zum Beispiel für die IFR von 0.1 Prozent und einen im betrachteten Zeitraum Infizierten Anteil von 30 Prozent an, für die IFR von 0.7 Prozent aber 50 Prozent, beträgt der Unterschied in der Zahl der Sterbefälle schon mehr als das 11-fache, also 290 500 statt 24 900 Sterbefälle.

Downloads:Als PNG.
Seit mehreren Wochen steigt die Zahl der gemeldeten Fälle in der Altersgruppe ab 50 Jahren an. Parallel dazu aber zeitlich verzögert – weil zwischen gemeldeter Infektion und Einweisung ins Krankenhaus in der Regel mehrere Tage liegen – steigt ebenfalls die Zahl der COVID-19 Fällen auf den Intensivstationen. Aktuell zählt das DIVI-Intensivregister laut Situationsbericht des RKI mehr als 600 Fälle. Das ist eine Steigerung um mehr als 150 Fälle im Vergleich zur Vorwoche.
Die Grafik zeigt die gemeldeten Fallzahlen einmal für Personen unter 50 Jahren und einmal ab 50 Jahren. Seit dem Spätsommer ist zu sehen, dass die Fallzahlen in den unteren Altersgruppen zuerst steigen. Inzwischen steigen aber auch die Fallzahlen in den Altersgruppen ab 50 Jahren deutlich, was einen verzögerten Anstieg der Fälle auf den Intensivstationen erwarten lässt.

Downloads:Als PNG.
Insbesondere die Daten der zuletzt betrachteten Woche können noch unvollständig sein und Nachmeldungen die Werte verändern.
Die erste Grafik zeigt die gemeldeten Fallzahlen pro 100 000 Personen in den Altersgruppen nach Kalenderwoche. Für einen Vergleich der Wachstumsdynamik in den Altersgruppen bietet sich zusätzlich ein Blick auf das prozentuale Wachstum in den Gruppen an. Setzt man die Werte für die 28. Kalenderwoche (06.07.2020 bis 12.07.2020) als 100 Prozent an, kann man die relative Veränderung zu dieser Kalenderwoche in den Altersgruppen vergleichen. Die 28. Kalenderwoche wurde dabei gewählt, da in dieser und den folgenden Wochen die Zahl der gemeldeten Fälle in Deutschland gering war und in der Verteilung der Fälle der starke Anstieg bei den jüngeren Altersklassen noch nicht zu beobachten war.
Aktuell steigen die gemeldeten Fälle pro 100 000 Personen in allen Altersgruppen an. Die älteren Altersklassen weisen weiterhin deutlich niedrigere Fallzahlen pro 100 000 Personen auf, relativ gibt es hier aber weiterhin starke Anstiege. Inzwischen nähert sich die Verteilung zwischen den Altersklassen wieder der 28. Kalenderwoche an, allerdings auf einem deutlich höheren Niveau der gemeldeten Fallzahlen.

Downloads:Als PNG.

Downloads:Als PNG.
Die Grafik zeigt für jeden Tag das Wachstum der geglätteten Fallzahlen im Vergleich zur Vorwoche. Das Wachstum liegt aktuell deutlich über 50 Prozent pro Woche. Ein Wachstum in dieser Größenordnung wurde seit April nur kurz während des Ausbruchs in Gütersloh Ende Juni beobachtet und ist Anlass zur Sorge unter Epidemiologen. Schon ein konstantes prozentuales Wachstum führt zu exponentiellem Wachstum. Aktuell beschleunigt sich das prozentuale Wachstum. Während das wöchentliche Wachstum in den Vorwochen zumeist zwischen 25 und 30 Prozent lag, ist es im Laufe der vergangenen Woche auf deutlich über 50 Prozent gestiegen. Mittelfristig kann eine Beschleunigung des prozentuales Wachstum nicht anhalten, da dieses in wenigen Wochen dazu führen würde, dass die theoretische Anzahl an Infizierten die Zahl der in Deutschland lebenden Personen übertreffen würde. Ein Wachstum von 50 Prozent pro Woche würde schon in vier Wochen zu täglich 20 000 gemeldeten Fällen führen, nach acht Wochen wären täglich 100 000 Fälle erreicht. In der Praxis schwanken die Wachstumsraten meist stark, so dass eine Prognose nicht sinnvoll ist.

Downloads:Als PNG.
Da die Zahl der neu bestätigten Infektionsfälle (gestrichelte Linie) im Wochenrhythmus schwankt, wird an dieser Stelle auch ein Mittelwert der jeweils vergangenen sieben Tage angegeben (blaue Linie). Da die vergangenen sieben Tage betrachtet werden, läuft dieser Wert den Meldezahlen immer etwas nach. Aktuell steigen die täglich gemeldeten Fallzahlen stark an.

Downloads:Als PNG.
Die Fallzahlen pro 100 000 Personen steigen in Berlin, Bremen, dem Sarland und NRW deutlich. Hier sind die bereits erreichten Fallzahlen hoch. Aber auch auf niedrigerem Niveau steigen die Zahlen für mehrere andere Bundesländer zum Teil deutlich.

Downloads:Als PNG.
Für die Bewertung der aktuellen Situation ist die Einschätzung wichtig, ob sich das Infektionsgeschehen gleichmäßig über Deutschland verteilt oder ob es einzelne Hotspots und lokale Ausbrüche gibt. Auch wenn die Meldedaten nur ein unzureichendes Bild über das Infektionsgeschehen bieten, können sie daraufhin analysiert werden.
Ein bekanntes Maß für Ungleichheit ist der sogenannte Gini-Koeffizient, eine Zahl zwischen Null und Eins. Nehmen wir etwa die Vermögensverteilung in einem Land. Der Gini-Koeffizient nimmt den Wert Eins an, wenn einer allein alles hat und Null, wenn alle gleich viel besitzen.
Angewendet auf die tägliche Zahl der Neuinfektionen in den Kreisen würde allerdings schon allein durch die unterschiedliche Größe der Kreise eine Ungleichheit entstehen und vorgetäuscht. Aus diesem Grund wird die Ungleichheit im Infektionsgeschehen hier auf Basis der Maßzahl „Anzahl der Fälle pro 100 000 Personen in den vergangenen sieben Tagen“ berechnet.
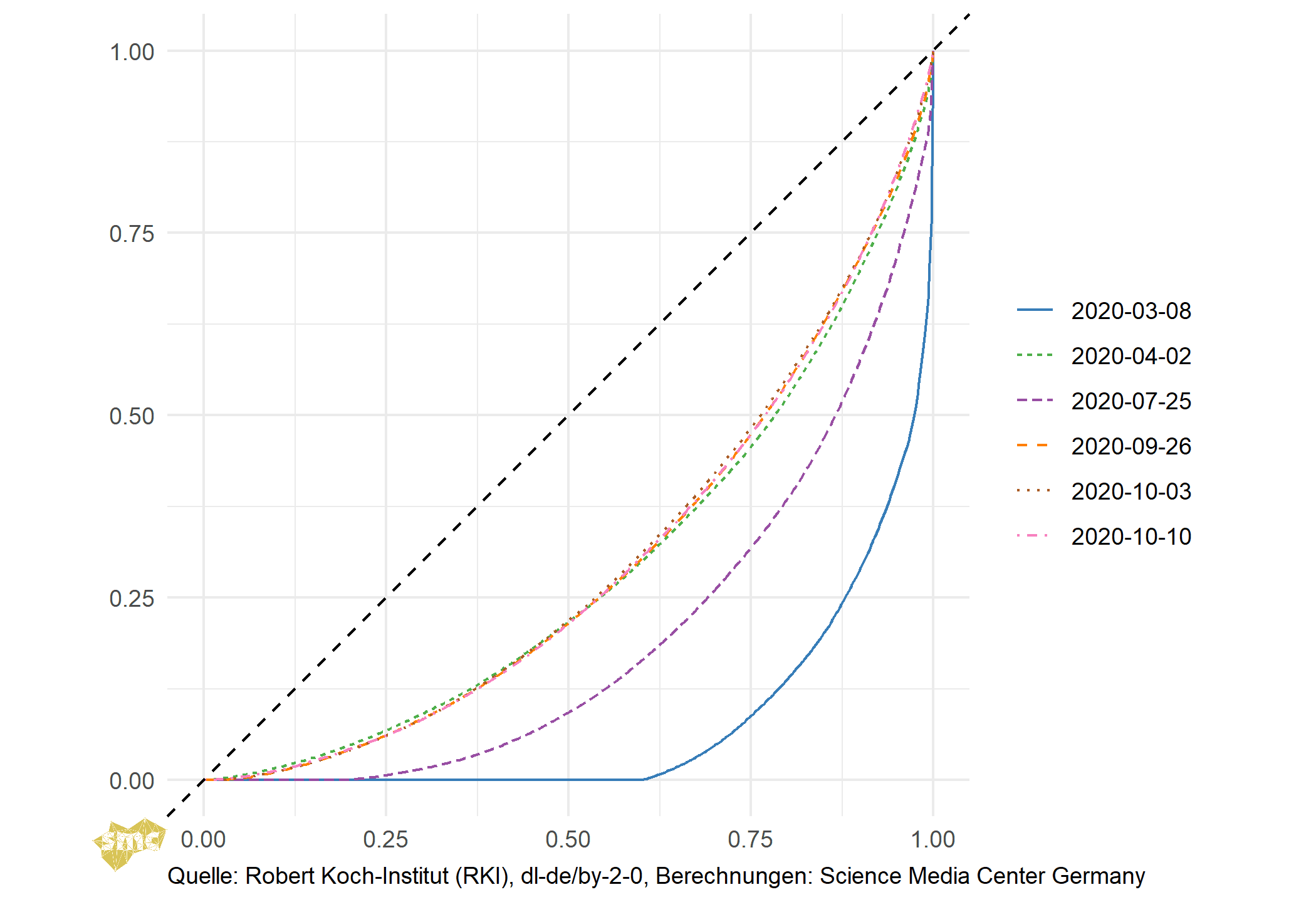
Ende Februar war die Ungleichheit bei den gemeldeten Fällen noch sehr groß, fiel dann aber mit steigender Fallzahl ab, da sich das Virus über Deutschland verteilte. Auch in den Hochzeiten waren die gemeldeten Fälle pro 100 000 Personen nicht gleichmäßig verteilt, der Gini-Koeffizient fiel nie unter 0,35.

Downloads:Als PNG.
Neben der zeitlichen Betrachtung ist als Querschnitt auch eine Betrachtung der Verteilung in den Landkreisen zu einem bestimmten Zeitpunkt möglich. Die sogenannte Lorenzkurve zeigt, wie viel Prozent der Landkreise (X-Achse) wie viel Prozent der pro Landkreis aufsummierten Fälle pro 100 000 Personen in den vergangenen sieben Tagen ausmachen. Dabei ist wichtig, dass es sich um diese relative Maßzahl handelt und nicht um die absolute, direkte Zahl der Infektionsfälle! München geht in diese Berechnung mit dem gleichen Gewicht ein wie Zweibrücken.
Je näher eine Lorenzkurve an der Diagonalen liegt, desto gleichmäßiger ist die Maßzahl verteilt, eine Kurve, die weit davon entfernt ist, zeugt von einer ungleichen Verteilung.
Betrachtet werden verschiedene Zeitpunkte:

Downloads:Als PNG.
Die Tatsache, dass die Kreise in Deutschland sehr unterschiedliche Einwohnerzahlen haben, macht die Vergleichbarkeit schwer. Relative Maßzahlen können bei kleinen Kreisen dazu führen, dass Zufallsschwankungen großen Einfluss haben, große Kreise haben bei gleicher relativer Anzahl viel mehr Fälle, so dass sie bei absoluten Maßzahlen eher auffallen.
Die folgenden beiden Tabellen enthalten vier verschiedene Maßzahlen. Für den 12.10.2020 werden jeweils die für sieben Tage geglätteten Fallzahlen pro Tag und die Anzahl der bestätigten Fälle pro 100 000 Personen in den vergangenen sieben Tagen angegeben. Darüber hinaus wird jeweils die Differenz der Maßzahl zu dem Wert vom 05.10.2020 angegeben, um eine Veränderung zur Vorwoche zu betrachten.
Die erste Tabelle zeigt die zehn Kreise mit den höchsten Differenzen der Fallzahlen zur Vorwoche, in der zweiten Tabelle werden die Kreise mit den höchsten Differenzen der Fallzahlen pro 100 000 Personen angegeben. Während auf Grund der absoluten Maßzahl in der ersten Tabelle eher große Kreise enthalten sind, werden in der zweiten Tabelle tendenziell kleinere Kreise aufgezählt. Beide Tabellen geben keine Aussage darüber, ob hier steigende Fallzahlen im gesamten Kreis oder nur in einigen Einrichtungen vorliegen.
| Landkreis | Differenz Fälle pro Tag | Fallzahlen pro Tag | Differenz pro 100 000 Personen | Fälle pro 100 000 Personen |
|---|---|---|---|---|
| SK München | 44.0 | 114.6 | 20.9 | 54.5 |
| SK Köln | 42.7 | 106.6 | 27.5 | 68.7 |
| SK Stuttgart | 42.1 | 71.6 | 46.5 | 78.9 |
| SK Berlin Neukölln | 39.4 | 80.7 | 83.7 | 171.4 |
| SK Bremen | 32.4 | 67.1 | 39.9 | 82.5 |
| SK Berlin Mitte | 29.9 | 64.4 | 54.4 | 117.4 |
| LK Recklinghausen | 28.4 | 53.0 | 32.3 | 60.3 |
| LK Esslingen | 28.1 | 59.0 | 36.9 | 77.4 |
| SK Frankfurt am Main | 28.1 | 80.7 | 26.2 | 75.0 |
| SK Düsseldorf | 24.0 | 50.4 | 27.1 | 57.0 |
| Landkreis | Differenz Fälle pro Tag | Fallzahlen pro Tag | Differenz pro 100 000 Personen | Fälle pro 100 000 Personen |
|---|---|---|---|---|
| LK Bitburg-Prüm | 13.1 | 15.1 | 93.3 | 107.5 |
| SK Delmenhorst | 10.0 | 12.4 | 90.2 | 112.1 |
| SK Berlin Neukölln | 39.4 | 80.7 | 83.7 | 171.4 |
| LK Regen | 9.3 | 9.6 | 83.7 | 86.3 |
| SK Herne | 17.1 | 22.1 | 76.7 | 99.1 |
| LK Sankt Wendel | 9.4 | 11.4 | 75.5 | 91.5 |
| LK Berchtesgadener Land | 9.1 | 9.9 | 60.5 | 65.3 |
| LK Cloppenburg | 14.6 | 28.4 | 60.2 | 117.5 |
| SK Berlin Mitte | 29.9 | 64.4 | 54.4 | 117.4 |
| LK Grafschaft Bentheim | 10.4 | 16.1 | 53.5 | 82.8 |
Diesem Report liegen die Daten des Robert Koch-Instituts (RKI) zu Grunde, die im esri COVID-19 GeoHub zur Verfügung gestellt werden. Da ein Teil der Daten erst Tage nach dem offiziellen Meldedatum vom RKI erfasst werden, können sich diese auch nachträglich ändern. Insbesondere die jüngsten Daten unterliegen in der Regel noch starken Veränderungen und werden in diesem Report deswegen grau hinterlegt. Der Datensatz ist nach den Landkreisen und kreisfreien Städten, Berlin zusätzlich in die Bezirke aufgeteilt. Die Zahl der nicht diagnostizierten Fälle ist unbekannt und daher nicht enthalten.
Seit Beginn des Jahres 2020 und verstärkt in Zeiten der Corona-Pandemie verfolgt und bewertet die Redaktion und das SMC Lab täglich alle zugänglichen Daten und Meldezahlen zu COVID-19. Doch Zahlen, Fakten und Grafiken reichen für sich allein nicht aus, das komplexe Geschehen angemessen zu beschreiben und zu verstehen, was relevant ist.
Für informierte Diskussionen hatte das SMC Lab, seine Programmierer, Software-Experten und unser Statistiker bereits zu Jahresbeginn Tools zur Verfügung gestellt, damit die Redaktion interaktiv Daten zu COVID-19 verfolgen, diese visuell leicht erfassbar darzustellen und um wichtige Maßzahlen in Zeitreihen beobachten zu können - für Deutschland, die Bundesländer, die Kreise und kreisfreien Städte sowie International.
Diese Tools stellen wir nun schrittweise in interaktiven Apps zur Verfügung, damit Nutzerinnen und Nutzer dort Daten anschauen und downloaden können, die für Sie relevant sind.
Die Meldezahlen des Robert Koch-Instituts (RKI) zur Corona-Epidemie in Deutschland finden Sie unter diesem Link.
Die internationalen Meldezahlen der Weltgesundheitsorganisation WHO finden Sie unter diesem Link.
Wenn Sie Fragen zu diesen Daten haben oder Auswertungen für weitere Länder erhalten wollen, das SMC Lab kann Auswertungen erzeugen.
Volker Stollorz, Redaktionsleiter
Heinz Greuling, Leiter Innovation Digitale Medien
Meik Bittkowski, Leiter Softwareentwicklung und Datenwissenschaft
Lars Koppers, Gastwissenschaftler am SMC Lab
Telefon: +49 221 8888 25-0
E-Mail: redaktion@sciencemediacenter.de